Considerata un capolavoro della civilistica italiana del secolo scorso, la Teoria generale del negozio giuridico di Emilio Betti in che misura risente della formazione romanistica del suo autore? Il saggio affronta la questione distinguendo tra una presenza esplicita del diritto romano nell'opera e una presenza soltanto implicita, ma non per questo meno significativa. Nella prima modalità, i principi giuridici desunti dai testi romani, all’occorrenza riportati a una classicità puramente ideologica, segnalano occasionali precedenti o integrazioni di singole norme del codice, oppure concorrono alla confutazione sia di singoli assunti della dottrina coeva sia della tradizionale visione di fondo del negozio giuridico, ereditata dalla Pandettistica. La presenza latente del diritto romano è data invece dalla impalcatura stessa della Teoria generale, che Betti riprende da una precedente teoria del negozio applicata al diritto romano. Elaborata alla fine degli anni Venti, servendosi delle acquisizioni più recenti della dogmatica civilistica, questa “prima edizione romanistica” dell’opera s'impose immediatamente all’attenzione dei giuristi positivi sia per la visione anti-volontaristica del negozio giuridico che la animava sia per la densità sistematica della relativa analisi.
Considered a masterpiece of Italian civil law doctrine of the last century, to what extent is Emilio Betti’s Teoria generale del negozio giuridico affected by its author’s Romanist training? This paper tries to answer by distinguishing between an explicit presence of Roman law in the work and a merely implicit., but no less significant, presence. In the former way, legal principles inferred from Roman texts, occasionally restored to a purely ideological classicism, signal occasional precedents or additions to individual provisions of the italian Civil Code, or contribute to the refutation of both individual assumptions of coeval doctrine and the traditional underlying view of the “legal act”, that coluld be traced back to German pandectism and the doctrine of the “Rechtsgeschäft”. Instead, the latent presence of Roman law is given by the overall framework of the Teoria Generale, which Betti takes from an earlier theory of the “legal act” applied to Roman law. Elaborated at the end of the 1920s, making use of the most recent dogmatic models carried out by civil law jurists, this “first Romanist edition” of the work immediately caught the attention of legal scholars for the anti-voluntaristic view of the “legal act” that animated it and for the systematic density of its analysis.
1. Premessa - 2. Prologo: frammenti di una rappresentazione d’autore - 3. Verso la TGNG: la “primissima” edizione della dottrina del negozio - 4. Segue. Una immersione nella dogmatica in tre esempi - 5. Presenze del Corso del ’28 nella TGNG: l’ordito generale - 6. Segue. Dall’ordito alla riscrittura - 7. TGNG e forme della presenza esplicita del diritto romano: il precedente - 8. Segue. Brocardi e principi - 9. TGNG e critica testuale delle fonti romane - 10. Epilogo. - Appendice - NOTE
Parlare di uno “sfondo romanistico” della Teoria generale del negozio giuridico (d’ora in avanti TGNG) implica che il diritto romano possa rappresentarsi come un che di marginale e distaccato, rispetto al centro dell’opera. Dal punto di vista di un ricorso diretto alle sue fonti, ciò è senz’altro esatto. Lo dimostra in modo plastico l’«Indice dei testi legislativi citati» della monografia di Betti. Nella prima edizione dell’opera, apparsa nel 1943, l’indice annovera undici passi del Digesto e uno delle Istituzioni di Giustiniano [1]. Nove anni dopo, con la seconda edizione, i passi del manuale imperiale salgono a quattro, quelli del Digesto a novantadue, e si aggiungono tre brani del Codice e quattro delle Istituzioni di Gaio [2]. Questo incremento non deve tuttavia trarre in inganno. Quantitativamente, perché quelli romani non raggiungono la decima parte delle citazioni «di legge» complessive [3]. Qualitativamente, perché il loro impiego, come si vedrà nella seconda parte del saggio (§§ 7-9), non si risolve mai in un reale confronto con il testo antico, la cui presenza resta perciò di superficie.
Se si guarda al complesso delle fonti normative, intorno a cui lo studioso camerte intesse l’analisi del negozio, non c’è dunque dubbio che la TGNG si presenta come un’opera di diritto moderno, perfettamente in linea sia con l’oggetto complessivo di quel Trattato di diritto civile italiano redatto da diversi giureconsulti sotto la direzione di Filippo Vassalli, di cui essa era parte, sia con quella produzione civilistica dell’Autore che alla vigilia del ’43 risultava già piuttosto cospicua [4]. Tuttavia, è superfluo aggiungere che all’epoca Betti vantava una produzione ancora più cospicua di diritto romano [5]. Ed è notorio – per la celebre querelle metodologica che lo ebbe a protagonista [6] – che nello studio di questa materia egli spiccava per un impiego della dogmatica civilistica che andava ben oltre il tradizionale ricorso alle categorie della Pandettistica [7]. È dunque la strettissima compenetrazione dei due campi di ricerca dell’Autore, il civile e il romano, ereditati da una lunga tradizione di studi come «due facce di un fenomeno unitario» [8], a fare da sfondo alla prima parte del saggio (§§ 2-6) e alla domanda che ne costituisce il filo conduttore, vale a dire se lo “sfondo romanistico” della TGNG non vada cercato al di là dell’esplicito richiamo alle fonti giuridiche antiche. Beninteso, non si tratta di una domanda nuova. Se però la si affronta attraverso un esame diretto dell’opera, ci sembra che essa possa comunque riservare delle sorprese.
Al di là del ricorso esplicito alle fonti giuridiche antiche, quanto dunque deriva alla TGNG dall’esserne stato il suo autore anzitutto un romanista? Per meglio inquadrare il punto, prenderemo le mosse da due considerazioni retrospettive che lo studioso affidò alle proprie Notazioni autobiografiche [9].
«Lasciata la casa paterna nell’aprile del ’39, aveva trasferito con la mamma casa e libri a Roma. E qui, mentre continuava un lavoro affidatogli dal Vassalli e iniziato fin dall’estate del ’36 sulla teoria generale del negozio giuridico in diritto civile, fu nell’ottobre del ’39 chiamato dal ministro Grandi a partecipare alla elaborazione del quarto libro del Codice civile».
«All’università di Milano riprese nel ’38-’39 l’insegnamento delle Istituzioni e, insieme, assunse come titolare quello delle Pandette, per essere nel frattempo venuto meno il compianto maestro e collega Carlo Longo. In quello e nei successivi quattro anni svolse con esegesi approfondita la intera teoria del negozio giuridico (nel ’40-’41: interpretazione, agere in fraudem, invalidità e inefficacia; nel ’41-’42: negozio condizionale; nel ’42-’43: interposizione di persona e rappresentanza): i cinque corsi si proponeva di raccogliere in volume per il trattato diretto da Albertario (ripubblicando in 2a edizione la teoria del negozio in diritto romano)».
La prima Notazione – ben nota [10] – colloca l’avvio della stesura della TGNG nell’estate del ’36. La seconda sposta il focus due anni più tardi. Rientrato a Milano, dopo un anno d’insegnamento in Germania [11], Betti approfitta del passaggio alla cattedra di Diritto romano per svolgere cinque corsi esegetici dedicati ad altrettanti aspetti della dottrina del negozio giuridico [12]. Ciò che davvero rileva ai nostri fini è il progetto sotteso alla scelta dei temi dei corsi. Da un lato, Betti si proponeva di raccoglierne i risultati in un volume autonomo, che avrebbe dovuto pubblicarsi come parte di un Trattato di diritto romano il cui piano si andava in effetti annunciando proprio in quegli anni [13]. Dall’altro lato, una volta realizzato, il volume auspicato si sarebbe presentato come una «teoria del negozio in diritto romano», «in seconda edizione».
È noto che dei quattrodici volumi in cui avrebbe dovuto articolarsi il Trattato Albertario, solo quello di Biondo Biondi, su Successione testamentaria e donazioni, vide effettivamente la luce [14]. Il progetto di Betti restò dunque incompiuto. Ciò però nulla toglie al duplice dato che le sue Notazioni proiettano sulla storia interna, per chiamarla così, della TGNG: innanzitutto, che tra il 1939 e il 1943 l’Autore attese alla stesura dell’opera lavorando in parallelo a un suo corrispondente per il diritto romano; in secondo luogo, che all’avvio del cantiere civilistico una (prima) versione romanistica della teoria del negozio egli considerava di averla comunque già stesa.
A proposito di questo precedente romanistico, e facendo giustamente osservare la poca attenzione attirata da questa ascendenza della TGNG, Giuseppe Benedetti ha riportato il nocciolo dell’opera alla disamina di circa duecentotrenta pagine, che lo studioso camerte pubblicò nel 1935, per il volume Diritto romano. Parte generale [15]. In realtà, bisogna tornare indietro ancora di qualche anno, perché il volume in questione altro non è che la «veste tipografica» [16] di un precedente Corso di Istituzioni di diritto romano. Parte generale, il cui primo tomo era apparso in edizione litografata nel 1928 [17]. È ben vero che la pubblicazione tipografica fu l’occasione per una «naturale rielaborazione» dell’opera, come ebbe a esprimersi un suo recensore [18]. Nel caso dell’esposizione dedicata al negozio giuridico, la rielaborazione si tradusse però in una versione compendiata della dottrina presentata nel ’28, che di pagine superava le trecentocinquanta [19]. Sicché coglie senz’altro nel segno Massimo Brutti quando rivendica al Corso del ’28 «la base e la sostanza» di quella che sarebbe poi diventata la TGNG [20].
Prima di vedere più da vicino in che misura questa «base» e questa «sostanza» si ritrovino nella TGNG, conviene soffermare la nostra attenzione su alcuni caratteri fondamentali della dottrina bettiana del negozio, per come già appariva delineata nel Corso del ’28. In tal modo sarà anche più facile intendere come essa si inserì nel dibattito scientifico del tempo.
È noto che nella stesura del Corso di Istituzioni di diritto romano Betti vedeva la «riprova» di come quella elaborazione dogmatica del diritto romano, della quale egli sarebbe tornato a difendere a più riprese «legittimità» e «opportunità», potesse fattivamente tradursi anche in un insegnamento istituzionale [21]. Perciò non sorprende che alla «riprova» in questione si estendessero le critiche di chi non condivideva l’indirizzo metodologico propugnato dall’Autore, dal lato dello studio storico del diritto romano. Se è scontato che il riferimento sia a Pietro De Francisci, meno noto è che proprio l’amplissima sezione dedicata nel Corso al negozio giuridico avesse attirato l’attenzione del contraddittore di Betti. Vale anzi la pena di riprodurne per intero il giudizio, che illustra icasticamente il carattere di fondo di questa parte della dottrina del giurista camerte:
«Devo confessare che questo Corso, almeno per quanto riguarda la sezione III, appare piuttosto come un’interessante e in molti punti originale esposizione di teoria generale del diritto privato (nella quale il diritto romano entra molte volte soltanto per esemplificazione), che non come una ricostruzione del sistema dottrinale romano. Le caratteristiche tipiche di questo si trovano in codesto libro sommerse nella dogmatica moderna; sì che l’opera costituisce proprio la più bella dimostrazione dell’inopportunità del metodo propugnato dal Betti» [22].
Letto in una certa ottica, quello di De Francisci si può prendere come un giudizio ancipite. Rispetto all’oggetto del contendere, rappresentato dalla ricostruzione storica del diritto romano, una esposizione dove il proprium dell’esperienza antica finiva per essere sommerso e oscurato dal massiccio ricorso alla dogmatica moderna riceve un giudizio evidentemente negativo [23]. Al tempo stesso, proprio dal lato del ricorso alla dogmatica moderna, c’è però il riconoscimento che quello di Betti si presentava «come un’interessante e in molti punti originale esposizione di teoria generale del diritto privato». A un lettore del tempo, le pagine del Corso dovevano dunque apparire piuttosto inusuali non soltanto nell’approccio al diritto romano, ma anche dal lato più generale dell’impiego delle categorie di riferimento del diritto civile. Dal che viene spontaneo chiedersi – iniziando a proiettare il discorso verso l’approdo per così dire civilistico della teoria del negozio – che cosa già all’epoca rendesse tanto originale l’analisi di Betti.
Nel 1992, introducendo una meritoria ristampa della TGNG, Giovanni Battista Ferri segnalava due fondamentali novità (della versione civilistica) dell’opera. Da un lato, la vocazione tassonomica, che si esprime nel «tentativo di ricostruire, in un quadro coerente e organico, tutti gli aspetti e i risvolti più specifici della (…) concreta disciplina del negozio giuridico» [24]. Dall’altro lato, e soprattutto, la visione a monte di questo suo oggetto. Collegandolo in senso forte all’autonomia privata, intesa, con le parole di Betti, «quale attività e potestà di autoregolamentazione dei propri interessi e rapporti», l’opera valorizza infatti il momento sociale e oggettivo del negozio giuridico, piuttosto che quello individuale e volontaristico di matrice ottocentesca [25], facendo dipanare da questa rappresentazione tutta una serie di riconfigurazioni di singoli capitoli della teoria del negozio: dalla rilevanza dei motivi alla simulazione, dall’errore agli elementi accidentali, fino soprattutto all’interpretazione negoziale [26].
Ebbene se è lungo questi due piani – della vocazione sistematica e della concezione precettiva del negozio – che si misura la novità della TGNG, non c’è nessuna difficoltà a riconoscerne i prodromi già nel Corso del ’28. Quanto alla concezione precettiva, era in realtà già lo stesso Ferri a rimarcare la continuità tra le pagine delle due opere [27], in una linea che soprattutto Massimo Brutti ha ripreso e approfondito in tempi più recenti [28]. Quanto poi la (nuova) visione di fondo del negozio si coniugasse a una vocazione sistematica particolarmente accentuata si può facilmente recuperare, sia pure per exempla, attraverso un rapido confronto con la manualistica del tempo. In tal modo riuscirà anche più facile prendere le misure del giudizio di De Francisci e dell’attenzione che la dottrina bettiana del negozio subito incontrò da parte anche dei cultori del diritto positivo.
Nel 1935, al momento di dargli quella veste tipografica di cui si è detto [29], Betti corredò il Corso di una bibliografia molto ampia, del tutto inusuale per gli standard dei manuali romanistici dell’epoca, anche per il suo aprirsi a quegli studi di diritto moderno da cui l’Autore traeva le categorie postpandettistiche utili alla ricostruzione storica dell’esperienza giuridica antica [30]. Apposte in apertura dei cinque capitoli che scandiscono la teoria del negozio giuridico, le note bettiane segnalano una decina appena di opere in lingua italiana, apparse prima del ’28 [31]. Va detto che il totale comprende sia vari studi su aspetti specifici [32] sia opere di taglio prevalentemente esegetico [33]. Il termine utile di paragone, rappresentato da esposizioni di carattere al tempo stesso generale e sistematico, viene così a consistere da un lato nel corso sui Negozi giuridici di Vittorio Scialoja [34], peraltro non scevro a sua volta di numerosi e ampi passaggi esegetici [35], e dall’altro lato dalle sezioni dedicate al negozio giuridico in sei manuali: quelli (in ordine cronologico) di Nicola De Crescenzio [36], Contardo Ferrini [37], Giovanni Pacchioni [38], Nicola Coviello [39] e Vincenzo Arangio Ruiz [40].
La differenza più banale, ma al tempo stesso macroscopica dei libri messi a confronto è rappresentata dalla estensione che la dottrina del negozio vi prende. Neppure trenta pagine per Arangio Ruiz; una sessantina per De Crescenzio, una ottantina per Ferrini e Pacchioni. Tenendo conto della diversa resa di stampa (lito-e tipografica), solo nelle circa centotrenta pagine di Coviello si trova una disamina manualistica latamente avvicinabile all’estensione della dottrina del negozio nel Corso di Betti, la quale, a sua volta, è prossima alle dimensioni di un corso monografico come quello di Scialoja [41].
Se dall’astratto del numero di pagine si scende poi al concreto dipanarsi della trattazione, si constata facilmente perché l’organicità del discorso bettiano si presentasse un po’ come un unicum nel panorama della manualistica italiana. Tre esempi basteranno.
Il primo si riferisce all’invalidità del negozio. De Crescenzio e Arangio Ruiz non vanno oltre la dicotomia tradizionale tra nullità e annullabilità [42]. Con Scialoja prima, e Ferrini e Pacchioni poi, il discorso si estende invece alle novità del dibattito dottrinario. Ma si tratta di un confronto che resta tutto sommato limitato, ridotto com’è a una questione terminologica (circa l’opportunità di parlare di ‘inesistenza’ anziché di ‘nullità’) e alla configurazione di una classe intermedia tra le due fondamentali (rappresentata dalla c.d. nullità relativa) [43].
Di tutt’altra portata sistematica è il discorso di Betti, che svela una ben maggiore articolazione addirittura in premessa. L’Autore lo fa infatti partire da una diairesi a monte della stessa invalidità, della quale viene poi seguito lo svolgimento per gradi. In primo luogo, invalidità e inefficacia in senso stretto vengono individuate come specie del genere inefficacia (in senso ampio). In secondo luogo, l’inefficacia (in senso stretto) viene scomposta nelle quattro classi che l’articolerebbero: quando un fatto esterno, collegato all’operatività del negozio, venga a mancare (se positivo) oppure a integrarsi (se negativo) e, ancora, quando il negozio leda il diritto di un terzo o della stessa parte, e sia perciò impugnabile. In terzo luogo, vengono criticamente discusse due specie ulteriori, ascritte erroneamente (secondo Betti) alla inefficacia in senso stretto [44]. Solo a questo punto il discorso passa alla (species parallela della) invalidità e si reimmette – almeno in un primo momento – nei binari tradizionali di un’analisi delle sue due sottoclassi moderne e della loro riconducibilità all’esperienza giuridica antica [45].
Un aggiornamento ancora più radicale, rispetto agli standard pandettistici della manualistica coeva, riceve la classificazione dei negozi giuridici. Nei quattro manuali romanistici presi a riferimento, si oscilla dalle tre alle cinque distinzioni, “canoniche” si avrebbe la tentazione di chiosare: negozi unilaterali o bilaterali, a titolo oneroso o gratuito, inter vivos o mortis causa, formali o meno, astratti o causali [46]. Con Betti le specie invece si moltiplicano, grazie a una serie di partizioni che si irradiano dai tre elementi costitutivi del negozio, di cui diremo meglio nel prossimo §. Lo schema che segue recupera la nervatura del discorso dell’Autore, e credo ne evidenzi da sé la caratura concettualistica.

Una cura ancora maggiore risulta profusa dall’Autore per distinguere il c.d. errore vizio dall’errore ostativo, insieme alle relative sottoclassi. È il nostro ultimo esempio. Nella manualistica indicata da Betti come riferimento, la distinzione tra le due specie di errore, laddove non manchi del tutto, come in De Crescienzo e in Arangio Ruiz [47], si riduce a una differenza di principio, che non tocca il cuore successivo del discorso, condotto unitariamente sulla base della tradizionale tripartizione tra error in persona, corpore e substantia [48]. Viceversa, nel Corso di Betti, la differenza concettuale si traduce innanzitutto nell’adozione di quel piano sistematico che per vari decenni sarebbe poi divenuto canonico: l’errore ostativo esposto come causa (e tra i casi) di discrepanza tra il voluto e il rappresentato [49]; l’errore vizio come causa (e tra i casi) di una volontà formatasi in modo anormale [50]. Ancora più significativo dello scrupolo ad aggiornare le categorie di riferimento è però il modo in cui l’Autore svolge poi concretamente il discorso. Rispetto all’errore ostativo – al quale ci limiteremo [51] – la dogmatica tradizionale è messa alle corde attraverso due separate partizioni, l’una inedita e l’altra che invece rimodella la partizione basata sul trinomio persona / corpus / substantia, di cui si è appena detto.
Inedita è la suddivisione che perimetra la fenomenologia delle “cause” dell’errore, da Betti distinte a seconda che lo sbaglio dipenda (a) da un fatto esterno al dichiarante oppure (b) da un fatto interno, e in questo secondo caso con la distinzione ulteriore che il dichiarante sia incorso in errore (b1) per distrazione, (b2) per inerzia oppure (b3) per un equivoco di altra natura [52]. Ampiamente rimodellata è invece la partizione relativa all’“oggetto” dell’errore. Su quest’altro piano, infatti, è solo a grandi linee che Betti si conforma alla tripartizione tradizionale, sia perché nello schema dell’Autore l’error in substantia finisce sotto il cappello delle varie sottospecie dell’error in corpore [53] (e la relativa casella sostituita da una specie inedita), sia perché le specie di primo livello risultano, appunto, ulteriormente articolate. In particolare, (a) l’errore sulla identità della persona è distinto a seconda che si versi (a1) in un caso di dichiarazione recettizia rivolta alla persona sbagliata oppure (a2) di dichiarazione non recettizia in cui s’indichi la persona sbagliata. In secondo luogo (b) l’errore sulla idoneità dell’oggetto è distinto a seconda che si concretizzi (b1) in una indicazione materiale errata, oppure (b2) in una errata designazione intellettuale oppure ancora (b3) in una discrepanza tra indicazione materiale e designazione intellettuale. Infine (c) l’errore sulla identità della dichiarazione nel suo complesso viene esemplificato (c1) col caso della trasmissione di un documento sbagliato, che perciò contiene una diversa dichiarazione, oppure (c2) col caso di una dichiarazione riportata dal nuntius in modo non conforme al vero.
Tirando le somme, il modo in cui il Corso di Betti struttura i temi dell’errore ostativo, dell’invalidità e della classificazione dei negozi giuridici non esemplifica soltanto la distanza che corre tra l’opera e la manualistica precedente e coeva di diritto romano. Al tempo stesso, esso rende ragione del perché De Francisci ne percepisse i capitoli dedicati al negozio giuridico come una esperienza immersiva nella dogmatica moderna. In effetti, tra gli auctores indicati nella nota bibliografica del ’35, il più vicino al Corso di Betti risulta proprio il Manuale di diritto civile di Nicola Coviello. E ciò non tanto per il dato materiale del notevole spazio che già in quest’opera occupava la dottrina generale del negozio [54], quanto perché dietro a tanta estensione si percepisce l’aspirazione che sarà poi la stessa di Betti, vale a dire di offrire al lettore «una solida e armonica struttura della teoria generale del diritto» [55]. Non è dunque un caso – a voler estendere il confronto sugli esempi precedenti a un’opera che proprio per la vocazione sistematica si era fatta apprezzare in Italia come «un esempio per molte parti nuovo ed eccellente» [56] – non è dunque un caso – si diceva – che anche nel Manuale di Coviello le analisi di nullità e annullabilità fossero precedute da quella dell’inefficacia, che la disamina dell’errore ostativo fosse separata da un esame dell’errore vizio attento a distinguere l’uno e l’altro errore anche quanto all’oggetto, e che la classificazione dei negozi giuridici vi risultasse altrettanto ricca di quella di Betti (anche se differentemente articolata) [57].
Tornando all’originalità del Corso del ’28, è dunque vero che esso si caratterizzava per il ricorso insistito e soverchiante alle categorie con cui la scienza giuridica del tempo andava aggiornando la dogmatica ereditata dalla Pandettistica. Che fosse legittimo o anche solo opportuno proiettare queste categorie in chiave storica sul diritto romano poteva essere oggetto di discussione. Ma non c’è dubbio che proprio per questa sua caratteristica, oltre che per la diversa visione di fondo dell’autonomia privata che l’animava, la dottrina bettiana del negozio non poteva non essere l’occasione di una interlocuzione con gli stessi cultori del diritto positivo, come in effetti preconizzò subito un recensore del Corso [58]. E così, se all’indomani della sua pubblicazione, dal lato del processo, un giovanissimo Virginio Andrioli poteva riferirvisi come a un «poderoso sforzo (…) volto a costruire il negozio su di una base normativa e a discreparlo dai residui volontaristici» [59], qualche anno più tardi un amministrativista come Roberto Lucifredi poteva trovare «suggestiva» la definizione del negozio in cui Betti aveva compendiato questa sua visione normativistica [60]. Non per nulla, la definizione in questione era stata adottata nel frattempo anche da un (ormai) civilista come Filippo Vassali, che la riproponeva tal quale in un corso sui negozi giuridici, anch’esso sensibile alle istanze anti-individualiste [61].
Alla luce di tutto ciò, quando proprio Vassalli, all’indomani della chiamata alla cattedra romana di Diritto civile, si mise a stendere il piano del Trattato di diritto civile italiano, decidendo che a coronarlo dovesse essere una Teoria generale del negozio giuridico [62], non stupisce che per la realizzazione dell’opera si fosse rivolto proprio all’Autore del Corso del ’28. Per dirla con uno dei protagonista di punta della cultura giuridica dell’epoca, «avendo il Vassalli compreso nel disegno del Trattato di diritto civile italiano una monografia del negozio giuridico, non so a quale altro giurista italiano meglio che al Betti l’avrebbe potuta affidare» [63].
Nel 1928, una teoria del negozio giuridico elaborata in via di principio per un corso di diritto romano, ma ricorrendo a una impalcatura concettuale tanto densa da permettere al diritto romano di affacciarvisi «molte volte soltanto per esemplificazione», come sosteneva De Francisci [64]. Nel 1935, una silloge di questa stessa teoria, in edizione finalmente tipografica [65]. Nel mezzo, una decina di saggi su aspetti specifici della disciplina del negozio, che spaziano dal diritto romano, a quello civile e commerciale, al diritto processuale [66]. Il tutto coronato dalla voce ad hoc per l’Enciclopedia Italiana [67]. Ricapitolando, è questo il complesso di una produzione che nella seconda metà degli anni ‘Trenta permette di guardare a Betti come a uno studioso capace d’interpretare meglio di altri un tema tradizionalmente di competenza dei romanisti – civilisti, il cui studio nel frattempo era tuttavia venuto estendendosi «ai pubblicisti di tutti i rami» [68].
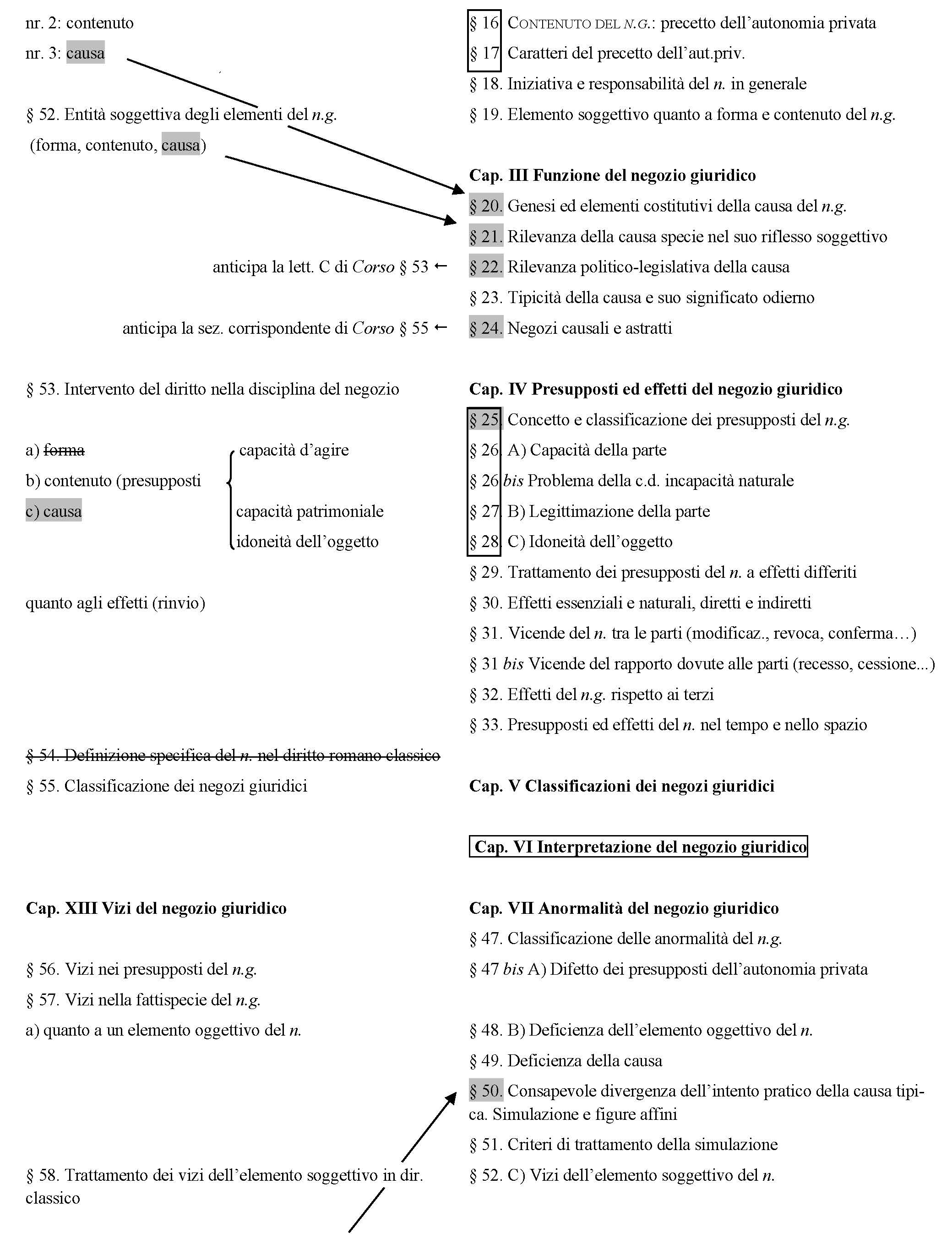
Ma la fonte da cui tutta questa produzione si dipana, cioè appunto la dottrina del negozio affidata al Corso del ‘28, in che misura ha poi concretamente influenzato la stesura della TGNG? Arrivati infine alla domanda lasciata in sospeso al principio del § 3, è d’obbligo premettere che solo un esame delle due opere che fosse al tempo stesso analitico e completo permetterebbe per davvero di rispondere. Dato che nelle prossime pagine non si riuscirà a proporre più di qualche esempio, va da sé che le conclusioni che trarremo non si possono generalizzare. Al netto di questo caveat, va detto però che l’immagine che questi esempi rimandano del Corso del ’28 è quella di un’opera che ha offerto alla TGNG innanzitutto l’ordito generale, e in secondo luogo il testo stesso a partire dal quale riscriverne singole parti.
Per quanto riguarda l’ordito generale dei temi, il lettore troverà in Appendice una tabella che ne mette a confronto lo snodarsi nel Corso e nella TGNG (quest’ultima in seconda edizione). Dalla tabella emerge chiarissimo che il percorso tracciato nel ’28 è rimasto sostanzialmente invariato. Una volta messa in campo la sua personale concezione dell’autonomia privata [69], Betti imposta uno svolgimento in due tempi, tutto teso a superare il c.d. dogma della volontà [70]. La prima parte ruota intorno all’inedito trinomio degli elementi costitutivi del negozio – atto / contenuto / causa – esaminati su una pluralità di piani, interni ed esterni [71]. A seguire – ma badando a disarticolarli in vario modo dalla visione volontaristica a cui li riduceva la tradizione pandettistica – i temi classici dei vizi, dell’invalidità, della condizione (insieme a termine e modus) e della rappresentanza [72].
Nello stendere la Teoria del ’43 e poi del ’52, non c’è dubbio che la sistematica dell’Autore sia andata di molto infittendosi e raffinandosi, con partizioni che cedono il posto ad altre, evidentemente avvertite come più adeguate. Ma al livello dell’articolazione di primo livello dei temi – quale si esprime nella divisione in capitoli della TGNG – si tratta di innovazioni circoscritte, che possono così riassumersi: per un verso, un numero davvero limitato di tagli e inserti; per l’altro un ripensamento del modo di esporre la prima parte della teoria, dedicata all’analisi degli elementi costitutivi del negozio.
Quanto a tagli e inserti – proprio perché limitatissimi – il discorso è presto detto. Comprensibilmente, dal piano della TGNG scompaiono le tre (!) unità che nel piano del Corso erano deputate a cogliere aspetti tanto specifici quanto esclusivi dell’esperienza romana, incentrati ora sulla contrapposizione tra diritto classico e giustinianeo (su cui dovremo tornare) ora sulla dialettica ius civile – ius honorarium [73]. Come unico nuovo capitolo il piano della TGNG prevede invece quello sulla Interpretazione del negozio giuridico, preludio di quella vena ermeneutica che di lì in poi Betti avrebbe iniziato a esplorare con sempre maggior intensità [74].
Quanto ai ripensamenti, essi riguardano, come si accennava, l’analisi dedicata agli elementi costitutivi del negozio, alla quale nella TGNG si procede disarticolando e riaccorpando in forma diversa lo schema originale. Nel Corso, il tema è svolto infatti secondo uno schema che prevede che il trinomio atto / contenuto / causa venga sceverato prima nel suo aspetto oggettivo, poi in quello soggettivo e infine sul piano degli interventi del diritto nella disciplina di ciascuno dei tre elementi [75]. Nella TGNG questa scansione, così rigida e insistita, viene abbandonata a beneficio di una trattazione più fluida (anche perché espansa). Come prima cosa, l’analisi di atto e contenuto viene concentrata in un capitolo autonomo (Struttura del negozio giuridico: cap. ii), distinto da quello dedicato alla causa (cap. iii: Funzione del negozio giuridico) [76]. In secondo luogo, la dicotomia del ’28 tra «entità oggettiva» e «momento soggettivo» dei tre elementi del negozio viene assorbita all’interno dei rispettivi capitoli, riducendola così a una polarità di secondo livello [77].
Quanto infine al terzo piano dell’analisi – quello eteronomo, rappresentato dagli interventi politico-legislativi sulla disciplina del negozio – l’articolazione originaria intorno al trinomio atto / contenuto / causa subisce una contrazione ancora maggiore. La TGNG elimina infatti l’analisi corrispondente dell’atto, obiettivamente di significato marginale per il diritto vigente [78], e anticipa quella del terzo membro al (nuovo) capitolo dedicato autonomamente alla causa [79]. Ciò che rimane è dunque il tema degli interventi del diritto sul contenuto del negozio, che nella TGNG si espande a formare la prima parte di un nuovo capitolo autonomo. Nel titolo scelto – Presupposti (ed effetti) del negozio giuridico – continua comunque a specchiarsi la sezione parallela del Corso [80], a riprova del fatto che le modifiche apportate non intaccano la sostanza della corrispondenza. Del resto, i paragrafi inediti che la TGNG aggiunge in questo stesso capitolo, relativamente agli effetti del negozio giuridico, avevano anch’essi nel Corso il loro corrispondente sistematico, ancorché presentato in quella sede in forma semplicemente di rinvio [81]. Sicché si può dire che il relativo svolgimento si presenti come lo sviluppo di una parte che nel 1928 era comunque già stata configurata in astratto.
L’eredità del Corso del ’28 non è però di natura soltanto sistematica. Come si avvertiva, se dal piano dell’ordito generale dei temi, si scende a quello del loro concreto svolgimento, ci si accorge che nello stendere la TGNG Betti ha tenuto più volte come base del discorso la dottrina esposta a suo tempo, aggiornandola in vario modo e in varia misura alle mutate necessità e alla nuova destinazione dell’opera.
Un esempio particolarmente significativo di questa riscrittura [82] s’incontra alla fine del terzo capitolo dell’opera, allorché l’Autore, per completare l’esposizione della Funzione del negozio giuridico, affronta il problema dei negozi astratti, dirottandone l’esame dalla sedes originaria del ’28 [83]. Nella veste definitiva, assunta con l’edizione del ’52, il tema è svolto secondo una sequenza sostanzialmente tripartita. In primo luogo, ci si chiede in che cosa si distinguano dogmaticamente i negozi astratti da quelli causali. Quindi, in che misura un negozio astratto possa comunque far registrare una rilevanza (diretta) della causa. Infine, in che misura negozi che escludano la (diretta) rilevanza della causa possano trovare spazio nel diritto positivo [84]. Le pagine elaborate da Betti per l’edizione del ’28 tornano utili per comporre la prima parte del discorso. Ne riproduco di seguito il testo, così come appare nell’edizione del ’52, marcandone le scansioni interne con indicazioni progressive, che ne agevoleranno il commento. La sequenza di lettere corsive (a, b, c …) indica le porzioni di testo riprese senza modifiche sostanziali dal Corso. La sequenza in numeri latini (i, ii, iii …) indica le porzioni aggiunte con la TGNG.
«[I] Secondo il carattere della funzione economico sociale che ne informa il contenuto, si possono distinguere negozi a titolo oneroso o gratuito e negozi inter vivos o mortis causa. Ma di questa distinzione si tratterà nel cap. V al § 39. Qui preme invece trattare di altra distinzione che si ispira al criterio della rilevanza, diretta o indiretta, della causa. [a] Sotto questo profilo i negozi si distinguono in causali e astratti secondo che la funzione economico sociale (causa) cui essi si informano sia, o meno, palesata e riconoscibile, dalla loro struttura per modo da caratterizzarne il tipo, e quindi spieghi un’influenza diretta o solo indiretta nel determinarne il trattamento e gli effetti. [II] Può darsi infatti che l’ordine giuridico, anche qui in riconoscimento di qualche pratica o esigenza del traffico, che porti a far prevalere la certezza dei rapporti giuridici sul bisogno della loro intrinseca giustificazione, consenta alle parti di tacere l’interesse tipico che di volta in volta determina per loro l’atto di autonomia privata, e renda idoneo non di meno a produrre gli effetti giuridici il negozio dal cui contesto sia eliminata la menzione della causa. Ed ecco che allora, accanto ai negozi nella cui struttura la causa si rivela come elemento ineliminabile caratterizzandone il tipo (negozi causali), altri ne sorgono, la cui struttura, consistente sempre in forme tassativamente prefisse, non corrisponde in modo univoco ad una funzione economica o sociale costante, né rispecchia lo specifico interesse individuale al cui soddisfacimento il negozio può in concreto servire. Ne consegue che – taciuto il concreto intento pratico – a provocare gli effetti giuridici del negozio è indifferente codesto intento ed è sufficiente la forma: sicché lo scopo pratico cui il negozio in concreto si indirizza, diviene qui un’entità a sé stante, artificialmente distinta e stralciata dal suo contenuto, e di conseguenza anche la determinazione causale del volere assume minor rilievo.
[b] Nei negozi causali – quali ad es. la compravendita, la locazione, la società, il mutuo, il comodato – la causa è siffattamente incorporata col negozio stesso da non sembrarne discernibile per via di analisi. Pure, il suo stretto compenetrarsi con gli elementi essenziali, il suo identificarsi con la loro sintesi, significa soltanto che qui la presenza della causa è così certa che basta avere constatata l’esistenza di tutti questi elementi, per essere normalmente sicuri che esiste anche la causa. Ove questa manchi o sia deficiente (per es. illecita), ciò vuol dire che il negozio stesso o è, dal punto di vista del diritto, un’apparenza intimamente inconsistente, [III] o è fatto servire ad uno scopo contrastante con la sua tipica destinazione (es. 2265), e pertanto non idoneo a generare gli effetti propri del tipo che assume di riprodurre.
[c] Per contro, nei negozi astratti la struttura tipica non corrisponde ad una funzione economica o sociale costante, ed è muta circa lo specifico interesse individuale al cui soddisfacimento il negozio serve in concreto [IV] (interesse che d’altronde, per la piena efficacia del negozio, deve essere idoneo secondo la valutazione del diritto, a mente dell’art. 1322 capv.). [d] Ne consegue la rilevata indifferenza della causa e la sufficienza della forma. il che spiega perché ogni negozio astratto sia ancora oggi (come crediamo) necessariamente, formale mentre non ogni negozio formale e perciò stesso astratto. [V] La causa viene qui, per l’appunto, stralciata dal contenuto tipico del negozio e la determinazione di volontà, ad essa rivolta, non assume il rilievo che prende invece nel negozio causale. L’obbligazione assunta o l’attribuzione fatta è svincolata, almeno prima facie, dalla ragione tipica che deve giustificarla.
Concependo la volontà finale delle parti siccome rivolta alla causa, che è la sintesi degli elementi essenziali del negozio, anziché a questi elementi per sé considerati, si è in grado di comprendere la minore importanza che essa assume nei negozi astratti (il che tuttavia basta a dimostrare l’errore del qualificarli come negozi “acausali”: qualifica non meno assurda dell’altra di “atipici”, data ai negozi innominati). Minore importanza sia nel senso che, rispetto a tali negozi, non è possibile quella divergenza della determinazione causale che configurano la simulazione relativa e la utilizzazione a scopo indiretto, sia nel senso che nei negozi astratti i vizi specifici della determinazione causale hanno solo rilievo indiretto fra le parti contraenti.
La questione del carattere causale o astratto del negozio si pone in termini che non vengono sempre rettamente appresi. La questione non è se nel concreto negozio le parti possano semplicemente richiamarsi alla causa (…) La questione è un’altra: è di vedere se le parti possano eliminare, stralciare la menzione della causa dal contesto del negozio: se questo, cioè, possa tacere l’interesse tipico e possa ciò non di meno restare idoneo a produrre gli effetti giuridici propri del tipo cui appartiene. Quando a produrre tali effetti sia indifferente la causa è sufficiente la forma, il negozio ha appunto carattere astratto; quando no, causale.
[e] Certamente nella pratica della vita anche un negozio astratto non compare mai isolato, ma si inquadra sempre in una concreta situazione di fatto. Esso non si compie mai senza uno scopo pratico determinato, che ne costituisce parte integrante e di cui le parti possono – se il diritto non lo vieti – far menzione nel negozio che concludono in concreto, in modo da farlo ridiventare causale. Sarebbe un errore credere che qui la causa venga assorbita e sostituita dalla forma del negozio. Non si concepisce ad esempio un negozio cambiario [= Corso: una stipulatio] che non abbia uno scopo pratico, quale quello di garantire l’adempimento di un rapporto fondamentale, di soddisfarlo., di novarlo, di far credito, di donare ecc. Ogni negozio giuridico è, di sua natura, indirizzato a uno scopo raffrontabile con taluna delle tipiche funzioni della privata autonomia e controllabile alla loro stregua.
Ma la rilevata indifferenza della causa nel negozio astratto, non significa che il diritto non se ne interessi punto e non ne tenga proprio nessun conto. Ne tiene conto anche qui, ma non nello stesso modo che nei negozi causali. [VI] Il principio generale degli articoli 1322 capv. e 1325 n. 2, aventi riguardo alla figura normale dei negozi obbligatori, che è quella di negozi causali, non trova piena e incondizionata applicazione ai negozi astratti, ma vi trova bene un’applicazione attenuata, corrispondente al senso della sua ratio iuris. Rispetto al negozio astratto la mancanza o la deficienza di causa non esclude che il negozio possa avere alcun effetto, ma fa sì che, fra le parti, il negozio non possa avere un effetto definitivo e irrevocabile. [f] Mentre i negozi causali, quando in concreto difettino di causa, non sono neppure atti a spiegare gli effetti giuridici lor propri, i negozi astratti al contrario sono dapprima perfettamente efficaci anche se in concreto siano indirizzati ad uno scopo pratico che non rientri nelle categorie di interessi meritevoli di tutela giuridica. (…) Sennonché in questo caso, a favore della parte interessata al rilievo di tale mancanza, sorge il potere di paralizzare o rimuovere gli effetti giuridici già prodottisi in virtù della semplice osservanza della forma. La mancanza o la deficienza della causa può essere fatta valere sia in via di difesa contro l’azione basata sul negozio, sia in via di ripetizione, ad acquisto avvenuto.
La differenza, dunque, fra negozi astratti e negozi causali manifesta la sua precipua importanza in questo: che la causa del negozio ha, nei negozi causali, una rilevanza diretta; nei negozi astratti una rilevanza soltanto indiretta rispetto agli effetti giuridici del negozio» [85].
Il rincorrersi nel testo riprodotto di lettere corsive e numeri romani cerca di dare immediata evidenza al fatto che il discorso ha per base la stessa dottrina esposta in occasione del Corso del ’28, dottrina che Betti riprende pressoché alla lettera. Certamente, l’Autore le intramezza inserti di continuo, talora anche piuttosto corposi. Ma se si presta attenzione alla strategia discorsiva, anche gli inserti di maggior estensione si confermano pur sempre ancillari alla scrittura principale.
Entrando nel merito, l’inserto d’esordio (n. i) ha natura di raccordo sistematico e serve, nello specifico, a giustificare lo spostamento della sedes materiae rispetto a quella originaria del Corso, di cui già si è detto [86]. L’inserto successivo (n. ii) serve invece a offrire un migliore inquadramento della sostanza dogmatica in cui Betti vede la differenza tra i negozi astratti e quelli causali. Alla stringata formula, di cui nel Corso l’Autore si era servito per distinguere le due classi dal punto di vista sia della struttura sia degli effetti (lett. a), si aggiunge ora una considerazione di tipo ordinamentale, relativa cioè alle ragioni politiche di ammettere negozi che producano i loro effetti per il solo fatto di adibire determinate forme, indipendentemente dallo scopo pratico perseguito in concreto dalle parti.
Quando torna a riprendere la parola dal Corso (lett. b-c-d), Betti prima le intercala un doppio rinvio a norme del Codice (nn. iii-iv), e poi la interrompe momentaneamente con ben più lunghi rilievi di carattere dottrinario, volti a confutare configurazioni dogmatiche non condivise (n. v) [87]. L’esposizione può quindi riprendere con la dottrina originaria (lett. e-f), al netto dell’inserimento di un ultimo addendum (n. vi) che ne prepara l’epilogo. Già nel ’28 Betti aveva infatti concluso che ciò che distingue i negozi astratti da quelli causali, sul piano degli effetti, non è tanto il fatto che nei primi la causa sia assente, quanto che vi trovi una rilevanza soltanto indiretta. Proprio a questo elemento – egli premette ora nella TGNG – deve uniformarsi la lettura di quelle norme del Codice che indicano la causa come requisito del contratto (art. 1325 n. 2) o che subordinano al perseguimento di interessi meritevoli di tutela la possibilità di trascendere i tipi legali (art. 1322 cod. proc. civ.): quando le si applichi ai negozi astratti, si deve insomma intendere che le norme in questione richiedano una necessità della causa solo di secondo grado.
Già a questo punto di una lettura che si sarebbe tentati di definire stratigrafica, un primo bilancio delle pagine della TGNG, che si sono riprodotte, è a portata di mano. Esso indica che nel passare alla versione civilistica della teoria del negozio, da un lato il Codice (negli addenda iii, iv e vi) e dall’altro lato la dottrina moderna antagonista (nell’addendum v) sono diventati il complemento tanto esplicito quanto contingente di una concettualizzazione che Betti aveva applicato nel ’28 agli istituti romani, o per dirla da un altro punto di vista – più vicino al giudizio di De Francisci [88] – facendo degli istituti romani l’occasione «per collocare fuori dal tempo le categorie fondamentali del discorso giuridico» [89].
Da questo stesso punto di vista, non meno significativi degli addenda risultano peraltro i tagli, realizzati tra il ’43 e il ’52. Nella versione originaria della dottrina, tra le sezioni contrassegnate dalle lett. d-e stava l’elenco dei negozi astratti romani e la spiegazione di come essi fossero venuti configurandosi come tali solo nel tempo, da causali che erano all’origine [90]. All’interno della sezione contrassegnata dalla lett. e, il posto che sarebbe stato preso poi dalla cambiale era originariamente assegnato alla stipulatio. All’interno della sezione contrassegnata dalla lett. f, compariva l’indicazione tecnico-processuale dei due rimedi (exceptio e condictio) di cui i giuristi romani si servivano per permettere alla causa di trovare un rilievo indiretto [91].
All’esito di questo doppio piano di tagli e inserti, le somme si tirano dunque con relativa facilità. Nel passaggio alla TGNG non c’è dubbio che l’antico abbia ceduto il posto a una contemporaneità capace di esprimersi in varie dimensioni: dalla moderna pratica commerciale, con la cambiale, al diritto positivo, con il Codice, fino a configurazioni dogmatiche che nel Corso del ’28 non sarebbe stato possibile od opportuno criticare. Ma d’altro canto rimane il fatto che questa sostituzione è stata realizzata all’interno di una base teorica già perfettamente delineata in rapporto al diritto romano e per il resto lasciata immutata.
Per chi si occupi della presenza del diritto romano nella TGNG, l’analisi dedicata ai negozi astratti si rivela utile non solo come esempio di riscrittura del Corso di Istituzioni del ’28. Essa costituisce anche il ponte ideale per lasciare questa presenza soltanto implicita del diritto romano, frutto del peculiare modo in cui Betti studiava e insegnava la materia, e venire al riscorso esplicito alle fonti giuridiche antiche. Si è già avvertito che da un punto di vista meramente quantitativo si tratta di un impiego senz’altro contenuto [92]. Nondimeno, è interessante verificare con quali finalità e sulla base di quali premesse teoriche i passi del Corpus Iuris e delle Istituzioni di Gaio concorrano al disegno della TGNG.
Per rispondere a queste domande, cercheremo come prima cosa di inventariare le diverse forme d’impiego dei testi romani da parte di Betti. E se partiremo dal paragrafo della TGNG dedicato alla differenza tra negozi astratti e causali, è perché esso concorre con due diverse classi di esempi all’inventario che ci proponiamo.
Come si accennava più sopra, una volta fissato il punto dogmatico che nei negozi astratti non si ha una preterizione completa della causa, bensì una sua rilevanza soltanto indiretta, la TGNG avverte che questa differenza, così netta in via di principio, non deve essere assolutizzata. «Il grado di rigore e di intensità dell’astrazione» – spiega Betti – può risultare maggiore o minore sulla base di «considerazioni di opportunità politico-legislativa, che variano dall’uno all’altro diritto positivo e possono anche variare dall’uno all’altro negozio» [93].
Per esemplificare l’assunto con riguardo al diritto positivo italiano, l’Autore rinvia ai limiti che la c.d. astrazione delegatoria incontra nel Codice civile. Il rinvio è all’art. 1271, comma 2, e dunque alla norma che permette al delegato di opporre al delegatario l’inefficacia del rapporto di provvista (tra il delegato stesso e il delegante), quando risulti contemporaneamente nullo pure il rapporto di provvista (tra delegante e delegatario). In nota Betti segnala che la disposizione del Codice trova il proprio «precedente storico» in un intervento di Salvio Giuliano, tràdito attraverso due diversi luoghi del Digesto [94]. Chi li recuperasse e ne massimasse il contenuto, constaterebbe in effetti che il giurista era stato chiamato a pronunciarsi sulla validità, con terminologia moderna, di una delegazione del credito in relazione alla quale tanto il delegante quanto il delegato erano risultati, a posteriori, debitori soltanto apparenti (l’uno del delegante, l’altro del delegatario): la soluzione offerta è che il delegato – promittente possa paralizzare l’azione del delegatario – stipulante con una exceptio doli o addirittura (aggiunge Ulpiano nella scia di Giuliano) costringerlo a rimettergli la stipulatio [95].
Nella TGNG l’esegesi del passo non viene ulteriormente approfondita, e anche da parte nostra si eviterà di sottilizzare su questioni che pure verrebbe spontaneo porsi [96]. Il punto fondamentale è che una prima modalità d’impiego del diritto romano si risolve in un richiamo estemporaneo al precedente antico di una determinata norma positiva. Altri casi dello stesso genere si possono incontrare in materia d’interpretazione, allorché Betti segnala le ascendenze per es. dell’art. 1362, come dell’art. 1370 [97].
Tornando però subito alla questione delle eventuali gradazioni dell’astrattezza, il lettore constata che nella TGNG, una volta affrontato il problema dal punto di vista della inesistenza della causa, il focus si sposta sul problema della illiceità. Come regolarsi quando l’astrattezza divenga un mezzo per eludere norme imperative o di ordine pubblico? «In simili situazioni» – risponde Betti – «il negozio, quantunque astratto, può ben essere trattato siccome invalido con riguardo al rapporto causale sottostante» [98]. Rispetto a questo secondo aspetto del problema, norme puntuali del Codice non sono disponibili, e così la soluzione viene direttamente riportata alla casistica del diritto romano. Di nuovo, chi recuperasse l’intervento richiamato – a prima vista sempre di Giuliano – constaterebbe che il giurista era stato interrogato sul valore di una stipulazione novativa volta a trasferire a titolo di donazione il credito di un coniuge all’altro, e si era pronunciato per la nullità della stipulatio, dando in questo modo diretto rilievo all’elusione che diversamente si sarebbe consumata del divieto di donazioni fra coniugi [99].
Betti neppure in questo caso scende ulteriormente nei dettagli. E noi pure ci limiteremo a registrare quest’altra forma d’impiego esplicito del diritto romano, consistente nel rintracciare nel Digesto soluzioni modello per fattispecie non regolate direttamente dal Codice. Lo stesso avviene – giusto per fare un paio di altri esempi – per corroborare l’idea che le disposizioni testamentarie richiedano un’interpretazione individuale, piuttosto che tipica e che la revoca del testamento non possa esprimersi in una «mera intenzione non tradottasi in atto» [100].
Nei casi considerati nel precedente paragrafo, non c’è dubbio che il diritto romano concorra direttamente con le sue soluzioni alla tessitura della TGNG. Si sarà però intuito – dagli insistiti richiami alla necessità che il lettore venga da solo a capo della fonte giuridica antica – che la cosa avviene a scapito di qualsiasi specificità delle soluzioni romane, delle quali nemmeno il testo viene in realtà riprodotto. Ciò di cui il lettore della TGNG dispone è insomma niente più che l’indicazione di un determinato passo, in genere del Corpus Iuris, selezionato e inquadrato per quel tanto che ne richiedono il posto e il ruolo assegnatogli nel sistema. Nella sostanza – e al netto di numeri che sono assolutamente incomparabili – quello che viene ripreso è insomma il modello del Sistema di Savigny e della Pandettistica [101], incluso quel «salutare principio della divisione del lavoro», come ebbe a definirlo proprio Savigny, che fa sì che ogni questione storica o di critica del testo vada rimessa a indagini ad hoc [102].
Sotto questo profilo, le cose non mutano in modo significativo nemmeno nelle forme ulteriori che può assumere nella TGNG il ricorso diretto al diritto romano. Oltre a segnalare eventuali precedenti, sia di norme del Codice sia di fattispecie non codificate, Betti si serve infatti delle fonti antiche come di un serbatoio di principi utili a illustrare a mo’ di brocardo singoli aspetti della dottrina del negozio, specie quando una certa configurazione dogmatica, proposta dall’Autore, confligga con quella di altri. Va detto peraltro che se nella modalità “precedente” riesce al lettore piuttosto agevole, una volta recuperato il testo romano, recuperare anche la connessione tra la fattispecie antica e quella moderna, quando si entra nella modalità “brocardo” la pertinenza non risulta sempre così immediata. Di seguito, alcuni esempi nell’uno e nell’altro senso.
Per difendere il ricorso in materia testamentaria all’interpretazione c.d. conservativa, Betti si serve della massima “plenius voluntatem testantium interpretamur” [103]. La pertinenza della regula si coglie da sé. Così come va da sé che il principio “qui bis idem promittit ipso iure amplius quam semel non tenetur” possa tornare utile per mettere a fuoco il quid precettivo che la rinnovazione del negozio deve presentare per essere davvero tale [104]. Opposto è però il caso che segue, dove il contesto da cui il brocardo è estratto sembra quanto di più distante dal problema alla cui soluzione esso dovrebbe concorrere.
Il problema moderno è se dietro la costituzione di una società per sottoscrizione delle condizioni fissate dai promotori debba configurarsi un contratto piuttosto che un atto collettivo [105]. Il problema antico è invece di sapere se la delegazione di pagamento alla moglie del creditore possa avere o meno l’effetto di liberare il debitore, intendendo che il denaro versato divenga di proprietà del marito (essendo l’acquisto in capo alla moglie pure in questo caso escluso dal divieto di donazioni fra coniugi) [106]. Tra le due questioni non c’è apparentemente alcun nesso. Eppure, nella TGNG, gli studiosi moderni incapaci di cogliere l’interconnessione delle adesioni indirizzate ai promotori (e per questa via di riconoscere l’esistenza di un contratto vero e proprio tra i vari sottoscrittori) si ritrovano rimproverati con l’elegante immagine di cui Giuvenzio Celso si era servito a mo’ di chiosa per rappresentare l’essenza della delegazione di pagamento: “nam celeritate coniungendarum inter se actionum unam actionem occultari”. Citazione cursoria, il cui senso contingente non è del tutto perspicuo, al di là di un generico (e perciò poco proficuo) parallelismo sulla pluralità di rapporti soggettivi contemporaneamente toccati da delegazione e sottoscrizione [107].
Al solo scopo di completare il quadro degli usi possibili delle fonti romane, va detto infine che l’aforisma antico può essere l’occasione per riflessioni sulla relatività dei dogmi, che la TGNG propone in un’ottica a volte sincronica, a volte diacronica.
La relatività nella diacronia è evidenziata per esempio a proposito del principio “nemo plus iuris ad alium transferre potest quam ipse habet”, allorché Betti si sofferma sulla specificità della concezione romana, avvertendo che al centro del c.d. trasferimento a titolo derivativo gli antichi ponevano la cosa stessa, piuttosto che il diritto di cui la cosa costituisce l’oggetto [108]. Una relatività dei dogmi nella sincronia viene invece in gioco a proposito della natura, negoziale o meno, del pagamento. Secondo Betti, vedere l’atto solutorio come un’operazione che semplicemente esaurisce un previo regolamento d’interessi, piuttosto che come un’operazione dal contenuto precettivo suo proprio, non è altro che una questione di prospettiva, come testimonia la comprensenza delle due qualificazioni già nei giuristi romani. Per la configurazione precettiva, il richiamo è a Giuliano, che nel solvere (un indebitum) vedeva realizzato “hoc ipso aliquid negotii”; per quella concorrente sono invece reimpiegate le parole di cui Gaio si serviva per escludere l’indebiti solutio dal novero dei contratti: “quia is qui solvendi animo dat, magis distrahere vult negotium quam contrahere” [109].
Un discorso sulle forme del ricorso al diritto romano nella TGNG non potrebbe essere completo senza un cenno alla questione dell’interpolazionismo e al personalissimo modo in cui Betti interpretò questo momento cruciale della ricerca romanistica. Beninteso, non può essere questa la sede per un’analisi che investa la produzione scientifica dell’Autore nel suo complesso. Piuttosto, si tratta di dar conto di come si riverberi nel concreto della TGNG quello che una serie di studi ha già rilevato in via generale, vale a dire che lo studio delle interpolazioni diventa in Betti un mezzo per rafforzare su un (preteso) piano storico la necessità di un aggiornamento delle categorie pandettistiche, rivendicando «una più netta attualità al diritto classico» rispetto al diritto giustinianeo e ai suoi lasciti ottocenteschi [110].
In altre parole, il giurista camerte si serviva della ricerca delle interpolazioni come di uno strumento per rafforzare la dogmatica postpandettistica del diritto civile. Data l’impostazione, non stupisce vederne i riverberi anche nella TGNG. Nell’opera, le modifiche che i giustinianei avrebbero introdotto nei testi classici, al momento di recepirli nel Digesto, vengono chiamate in causa innanzitutto a complemento di quel ricorso diretto alle fonti romane di cui si è detto nei paragrafi precedenti. Dunque, con l’intento di rafforzare questa o quell’altra configurazione di specifici punti della dottrina del negozio [111]. Al tempo stesso, le interpolazioni assumono però un valore più generale, atteso che Betti se ne serve per attaccare alla radice quella visione volontaristica del negozio sulla cui presa di distanza è costruita, come si è visto, l’intera impalcatura della sua dottrina del negozio [112].
In questo secondo senso, anche come ultimo esempio della continua osmosi in cui si sostanziava per l’Autore lo studio del diritto romano e del diritto civile, è istruttivo il modo in cui la critica testuale delle fonti romane fa capolino nel paragrafo della TGNG dedicato in via specifica alla Critica del dogma della volontà [113]. Nella lunga polemica che Betti conduce sul punto, la storia dei dogmi entra giusto il tempo di segnalare il travisamento testuale su cui poggerebbe la definizione tradizionale del negozio giuridico, inteso come «manifestazione di volontà diretta a produrre effetti giuridici». Nella prima edizione dell’opera, il travisamento è direttamente ricondotto alla rielaborazione pandettistica delle fonti romane, mediata dalla dottrina del diritto intermedio:
«La qualifica del negozio come ‘dichiarazione di volontà’ – che è una traduzione di Willenserklärung (…) ci deriva dai pandettisti tedeschi del secolo xix aderenti al dogma della volontà (da Savigny a Windscheid) ed è il risultato di una elaborazione alquanto arbitraria delle fonti romane operatasi nella tendenza e nel senso di quel dogma sul terreno del diritto comune» [114].
Nella seconda edizione dell’opera, la rappresentazione della storia del dogma si affina leggermente e porta il lettore al piano che più direttamente ci interessa, quello della critica del testo. Per via d’interpolazione bizantina, infatti, quel seme che la Pandettistica avrebbe poi portato alla massima fioritura viene individuato già nelle fonti romane:
«Non è senza interesse rilevare che nel Corpus Juris giustinianeo l’espressione declarare voluntatem, spesso interpolata, non indica mai una dichiarazione che valga di per sé e che sia, rispetto al contenuto, costitutiva e insostituibile, bensì sta per l’appunto ad indicare una rivelazione o manifestazione di una voluntas, fatto psicologico, che può essere rilevabile e dimostrabile anche in altra forma» [115].
Aggiungendo in nota:
«Si afferma qui un tratto caratteristico della dogmatica bizantina, che stabilisce un dualismo e un’antitesi tra volontà e sua manifestazione e porta a dare peso decisivo al fatto psicologico che si tratta di rendere palese. (…) La Pandettistica nell’indirizzo del Windscheid non ha fatto che portare ad un più alto grado di consapevolezza codesto tratto caratteristico (ma non romano) della dogmatica bizantina» [116].
Fedele a quel «salutare principio della divisione del lavoro» di cui si è detto [117], Betti non lascia entrare nelle pagine della TGNG le modalità concrete della critica del testo, e si limita a rinviare ai risultati di un proprio saggio esegetico, destinato alle onoranze per la morte di Emilio Albertario [118]. È perciò a tale saggio, apparso a ridosso della seconda edizione della TGNG [119] (e per questo espressione della perdurante osmosi tra il Betti romanista e civilista), che anche da parte nostra si farà rapidamente riferimento, per mettere a fuoco la prospettiva ideologica che guidava l’Autore nello studio delle interpolazioni.
Come si evince dal riassunto fornitone nella TGNG, scopo del saggio è di dimostrare che i romani si servivano dell’espressione “declarare voluntatem” per riferirsi a comportamenti, e più in generale a situazioni, utili a interpretare ex post una determinata inclinazione psicologica, preesistente al declarare medesimo. Solo i giustinianei avrebbero usato l’espressione per riferirsi al contenuto precettivo della volontà, pubblica o privata. Dunque, secondo un’accezione che nel sesto secolo avrebbe finito per diventare normativa, da meramente interpretativa che era stata nei secoli precedenti.
Per dimostrare l’assunto, Betti procede sostanzialmente in due mosse. Il passo più lungo è dedicato a una rassegna di ventisei brani ciceroniani e a una cinquantina di testi giuridici, dai quali emergerebbe che il valore classico del verbo declarare è quello di «discoprire e mettere in luce una oggettività preesistente» [120], mentre la iunctura “declarare voluntatem” assume, sempre per i classici, il valore speciale di chiarire o confermare una precedente disposizione o di dare a intendere una certa intenzione [121]. Il fatto che in due testi giustinianei (I. 2.19.7 e C. 1.3.54.6) la iunctura viri verso il significato precettivo, di manifestazione di una volontà normativa, introduce al secondo passo del ragionamento, il quale porta molto rapidamente a concludere che si debba alla mano bizantina il fatto che il \sintagma “declarare voluntatem” compaia con la medesima accezione precettiva anche in uno sparuto gruppo di passi dei giuristi del principato (D. 1.3.32.1 [122], D. 2.14.7.19 [123], D. 24.3.8 pr. [124]).
A distanza di tanti anni, nel radicale mutamento di indirizzi, metodi e strumenti, che ha investito la ricerca romanistica, sarebbe fin troppo semplice (e dunque di relativa importanza) soffermarsi sulle singole aporie della tesi: dall’incompletezza del campione linguistico considerato [125], all’astratta kyriolexia quale criterio fondante alcune diagnosi interpolazionistiche [126], alla pura apoditticità di altre [127]. Più significativo è rilevare la spirale di ricerche in cui Betti inserisce il suo risultato e la proiezione generalizzante che lo studioso imprime immediatamente al tutto sul piano della storia della teoria del negozio giuridico:
«Così ricostruito, il dogma del “declarare voluntatem” (…) si allinea sul medesimo piano degli altri dogmi della “tacitas voluntas”, del “tacitus consensus”, del “pactum tacitus”, già messi in luce quali schemi concettuali caratteristici della dogmatica bizantina. (…) La mutata concezione dell’autonomia privata, che si denunzia in codesti dogmi interpolati nei testi richiamati, come molti altri, sta in un orientamento decisamente individualistico, che non si appaga più d’interpretare il negozio concluso alla stregua della buona fede o di altri criteri oggettivi, ma sente il bisogno di giustificarne il trattamento riconducendolo ad un indirizzo della volontà, a un intento giuridico (animus) dello stesso interessato. E siccome la presenza di un indirizzo e di un intento siffatto non è concretamente dimostrabile sulla scorta di corretti criteri interpretativi, così quella dogmatica sente il bisogno di ricorrere alla costruzione di una “manifestazione tacita” del volere, collocandola sul medesimo piano di un espresso “declarare voluntatem”. (…) Che in tal modo si stabilisse un pericoloso dualismo fra il sostrato psicologico del negozio e la forma in cui esso si rende socialmente riconoscibile, non era ancora avvertito dalla dogmatica bizantina, perché le costruzioni in parola si limitavano ad alcuni tipi di negozi a particolari situazioni di fatto. (…) Era riservata alla elaborazione dogmatica posteriore la incauta ingenuità del meccanizzare ed esasperare il dualismo tra la forma necessaria alla riconoscibilità del negozio e il contenuto precettivo erroneamente identificato con l’elemento soggettivo, e la conseguente goffaggine (…) di definire il negozio in generale come una “dichiarazione di volontà”» [128].
Quella dipinta a così grandi tinte è la stessa porzione di storia dei dogmi che abbiamo visto aggiungersi in forma ancora più sintetica al momento della seconda edizione della TGNG. Sono anni in cui l’aggiornamento dell’opera fornisce a Betti il destro per rispondere alle prese di posizione contro l’impostazione oggettivistica, che avevano fatto seguito alla prima edizione [129]. Che la critica dei testi romani si sovrapponga e sia funzionale al rinnovamento della dogmatica tradizionale è dunque nei fatti. L’epilogo retorico del saggio non fa che sottolineare questa evidenza:
«La dimostrazione della genesi storico-dogmatica di questa infelice formula scolastica [id est del negozio come “dichiarazione di volontà”] dovrebbe servire di monito a coloro che persistono nel vano tentativo di chiedere ad essa la soluzione dei problemi che propone il fenomeno dell’autonomia privata» [130].
La lunga disamina che il tema ci ha costretto a svolgere si può riassumere nelle seguenti proposizioni. Quella più generale è che non si può parlare di uno “sfondo romanistico” della TGNG senza prendere in considerazione una pluralità di piani. La presenza del diritto romano nell’opera è infatti multidimensionale, e dipende al tempo stesso sia dal peculiare approccio di Betti allo studio e all’insegnamento della materia sia dalle tradizioni culturali della disciplina, di cui anche uno studioso tanto peculiare non poteva non essere parte.
Da un punto di vista per così dire autobiografico, non sembra azzardato dire che Betti stesso si rappresentava la TGNG come parte di un’opera binaria, il cui pendant stava nella dottrina del negozio giuridico dettata per il Corso milanese di Istituzioni di diritto romano del 1928; pendant romanistico che l’Autore aveva avuto in animo di aggiornare in seconda edizione, parallelamente alla stesura della TGNG (§ 2). Dal Corso del ’28 la TGNG recupera sia la concreta scrittura di singoli temi, concepiti fin dal principio per essere proiettati al di là del tempo storico del diritto romano (§ 6) sia due fondamentali caratteristiche che distinguono le pagine di Betti da quelle della manualistica del tempo. Da un lato, il capillare ricorso a una dogmatica civilistica parzialmente in fieri, nella misura in cui si proponeva di superare le categorie pandettistiche (§§ 3-4). Dall’altro lato, la generale chiave di lettura adottata, volta a presentare il negozio giuridico in una dimensione oggettivistica e anti-individualista, che a sua volta si traduceva in una innovativa organizzazione degli argomenti, rimasta anch’essa sostanzialmente immutata nel passaggio alla TGNG, a conferma della identità di base di una teoria in cui ha valore relativo che la si applichi al diritto romano piuttosto che al diritto civile (§ 5).
Ispirato invece alla tradizione di Savigny e della Pandettistica è il ricorso diretto (anche se esiguo, quantitativamente) alle fonti romane. Esse sono sfruttate in una dimensione che rinuncia programmaticamente all’esegesi dei testi, per farne l’occasionale controcanto ora alle norme del Codice, per segnalarne alcuni precedenti o integrazioni (§ 7) ora alla dottrina coeva, quando occorra confutarla (anche) col ricorso ai principi romani (§ 8). Nella stessa scia, come si è visto da ultimo (§ 9), si colloca il personalissimo impiego (dei risultati) della critica interpolazionista. La formula diritto classico vs. diritto giustinianeo permette infatti a Betti di ricondurre anche alle fonti del Corpus Iuris quella che della TGNG costituisce la cifra di fondo, l’opposizione tra oggettivismo e soggettivismo, tra individualismo e funzione sociale dei rapporti giuridici.
L’ordito della dottrina del negozio
dal Corso di Istituzioni del 1928 alla TGNG del 1952
Legenda. cap. in cornice: tema assente in Corso ~.~.~ sezioni barrate: temi assenti in TGNG ~.~.~ i§§ in cornicei: espansione in TGNG di temi condensati in Corso ~.~.~ §§ evidenziati: temi compresenti in Corso e TGNG, ma con posizioni diverse.



[1] E. Betti, Teoria generale del negozio giuridico1, in Trattato di diritto civile italiano redatto da diversi giureconsulti, diretto da F. Vassalli, XV/II, Utet, 1943, 402.
[2] E. Betti, Teoria generale del negozio giuridico2, in Trattato di diritto civile italiano redatto da diversi giureconsulti, diretto da F. Vassalli, XV/II, Utet, 1952, 629 s.
[3] Nella seconda edizione dell’opera, salvo errori, gli articoli citati di provvedimenti normativi moderni (anche di area francese e germanica) sono 945; 104 i testi romani; 3 le fonti canonistiche.
[4] Riportandosi all’elenco approntata in G. Crifò, Indice degli scritti scientifici di Emilio Betti, in Studi in onore di E. Betti, I, Giuffrè, 1962, xiii-xxiv, nel periodo 1912-1943 attengono al diritto civile (e commerciale) tre corsi universitari (nn. 34, 71, 83) e una trentina di saggi (nn. 45, 48-50, 53, 54, 59, 60, 61, 64, 70, 72, 76, 79, 87, 89, 90, 92, 93, 94, 96, 97, 103, 107, 110, 121, 130, 135, 137, 145).
[5] Per lo stesso periodo ed elenco indicati alla nt. precedente, attengono al diritto romano venti corsi universitari (nn. 23, 30, 32, 33, 36, 41, 47, 65, 84, 88, 91, 101, 109, 116, 120, 125, 133, 138, 140, 142) e una cinquantina di saggi (nn. 1-22, 24, 26-29, 31, 43, 52, 55, 57, 73, 78, 86, 95, 99, 102, 105, 106, 108, 113, 118, 123, 124, 126, 129, 143).
[6] Le relative prese di posizione sono elencate in G. Crifò, Emilio Betti (1967) ora in Questioni di metodo. Diritto romano e dogmatica odierna. Saggi di Pietro de Francisci ed Emilio Betti. Appendici di Gabrio Lombardi, Giuliano Crifò e Giorgio Luraschi2, New Press, 1997, 172 nt. 10. Al di là dei brevi cenni fatti infra, in corrispondenza delle ntt. 22-23, per i contributi dei contraddittori diretti (Pietro de Francisci e Biondo Biondi), nonché di diversi altri studiosi che in vario modo intervennero nel dibattito, vd. l’ampia rassegna approntata da L. Gagliardi, Il diritto romano alla Statale di Milano: 1924-1968, in Antologia giuridica romanistica ed antiquaria, II, Giuffrè, 2018, 526 s. nt. 125.
[7] Vd. per tutti M. Talamanca, Diritto romano, in Cinquanta anni di esperienza giuridica in Italia, Giuffrè, 1982, 716-721. Indicazioni bibl. ulteriori in M. Brutti, Vittorio Scialoja, Emilio Betti: due visioni del diritto civile, Giappichelli, 2013, 67 s. nt. 110.
[8] Così sempre M. Talamanca, Diritto romano, cit., 481.
[9] E. Betti, Notazioni autobiografiche, rist. a cura di E. Mura, Cedam, 2014, 36 e 39.
[10] Cfr. e.g. G. Chiodi, Emilio Betti in difesa dell’oralità. Incontri e scontri sulla riforma del codice di procedura civile, in Emilio Betti e il processo civile, Roma Tre Press, 2022, 22.
[11] Dettagli in E. Mura, Emilio Betti, oltre lo specchio della memoria, in Notazioni autobiografiche, cit., xli-xliii.
[12] Ai contenuti dei tre corsi sintetizzati nella Notazione per il triennio ’40-’41, ’41-’42 e ’42-’43, vanno aggiunti i due titoli dei corsi del biennio precedente, vale a dire Concetto e vizi del negozio giuridico (’39-’40), Atti illeciti influenti sulla determinazione causale: dolo e violenza (’40-’41): cfr. G. Crifò, Indice, cit., nn. 120 e 125. Sul passaggio di Betti alla cattedra milanese di Diritto romano, dettagli in L. Gagliardi, Il Diritto romano, cit., 533.
[13] Cfr. le notizie riportate in SDHI, 1938, 605 s., in Riv. St. dir. it., 1941, 444 s., e in ZSS., 1942, 464 s. Stando al piano presentato del Trattato Albertario, la dottrina del negozio avrebbe dovuto rientrare nel volume introduttivo – concepito in 500 pagine – come sezione precipua della «Parte generale: il soggetto del diritto – L’oggetto del diritto – L’acquisto e la perdita dei diritti». Sulla diversa collocazione della TGNG nel piano del Trattato Vassalli vd. infra nt. 62.
[14] Il volume apparve in prima edizione nel 1943 e venne riedito nel 1952 «come opera a sé», non avendo «la nobile iniziativa dell’Albertario potuto avere seguito» (B. Biondi, Successione testamentaria e donazioni2, Giuffrè, 1952, iii). Sulle ragioni del fallimento del progetto, vd. M. Talamanca, Diritto romano, cit., 721-723.
[15] E. Betti, Diritto romano. I. Parte Generale, Cedam, 1935, 169-405. Il riferimento si può leggere da ult. in G. Benedetti, Oggettività esistenziale dell’interpretazione. Studi su ermeneutica e diritto, Giappichelli, 2014, 90: «La TGNG è già (curiosamente, per chi non conosce il quadro), sia pure in nuce, (…) nel volume del Diritto romano». Nello stesso senso vd. peraltro già N. Irti, Itinerari del negozio, in E. Betti e la scienza giuridica del Novecento, Giuffrè, 1978, 399 s.
[16] Così E. Betti, Diritto romano, cit., vii.
[17] E. Betti, Corso di Istituzioni di diritto romano. I. Parte Generale (escluso il processo), Cedam, 1928.
[18] G. Grosso, Rec. a E. Betti, Diritto romano. I. Parte generale (1936) ora in Scritti storico giuridici, IV, Giappichelli, 2001, 29.
[19] E. Betti, Corso, cit., 232-595.
[20] M. Brutti, Vittorio Scialoja, cit., 117 nt. 73; in termini analoghi vd. poi E. Stolfi, Emilio Betti maestro di casistica, in Dall’esegesi giuridica alla teoria dell’interpretazione: Emilio Betti (1890-1968), Roma Ter Press, 2020, 155 nt. 75; G. Alpa, Alle origini della codificazione: i lavori e il progetto di un Codice italo– francese delle obbligazioni, in Il contributo della Sapienza alle codificazioni, Jovene, 2022, 25.
[21] Vd. specialmente E. Betti, Educazione giuridica odierna e ricostruzione del diritto romano (1931) ora in Diritto, metodo, ermeneutica. Scritti scelti, Giuffrè, 1991, 146: «Dunque, così la questione della legittimità come quella della opportunità di una elaborazione dogmatica del diritto romano secondo i criteri ora delineati vanno risolte in senso affermativo. M’incombeva (…) l’onere di dare una riprova di tale conclusione, mostrando col fatto quale costrutto possa ritrarsi dalla dogmatica non solo nella ricostruzione di singoli istituti (…), ma in generale nello stesso svolgimento del corso di istituzioni. Per l’appunto questo ho cercato di fare. Del corso è pubblicata oggi la Parte generale».
[22] P. De Francisci, Questioni di metodo (1929) ora in Questioni di metodo, cit., 104, nt. 16.
[23] Da questo stesso punto di vista, una certa circospezione traspare anche dal giudizio di G. Longo, Rec. a E. Betti, Corso di Istituzioni di diritto romano. I. Parte generale (escluso il processo), in BIDR, 1931, fasc. iv-vi, 52 nt. 2: «Anche ammettendo, col Betti, la possibilità di un ripensamento, con l’abito dogmatico odierno, dei principi classici, questa forma troppo valica i caratteri e lo spirito della logica liberamente pratica dei giuristi classici».
[24] G.B. Ferri, Introduzione a E. Betti, Teoria generale del negozio giuridico, ristampa corretta della II ed., E.S.I., 1994, ix.
[25] G.B. Ferri, Introduzione, cit., x.
[26] Traggo il bilancio da G. Mirabelli, Negozio giuridico (teoria), in Enc. dir., XVIII, Giuffrè, 1978, 9-13.
[27] G.B. Ferri, Introduzione, cit., x.
[28] M. Brutti, Vittorio Scialoja, cit., 117-124.
[29] Supra in corrispondenza della nt. 16.
[30] Cfr. G. Grosso, Rec. a E. Betti, Diritto romano, cit., 34 s.
[31] Cfr. E. Betti, Diritto romano, cit., 197 nt. 1, ove la bibliografia apposta in apertura del cap. xii – Concetto del negozio giuridico. Salvo addenda specifici, è a questa stessa bibl. che fanno fondamentalmente riferimento anche le note d’apertura dei capitoli successivi, dedicati ai singoli aspetti della teoria del negozio: cfr. pp. 246 nt. 1, 321 nt. 1, 345 nt. 1, 378 nt. 1.
[32] Quali erano i due saggi di O. Rannelletti, Il silenzio nei negozi giuridici; Capacità e volontà nelle autorizzazioni e concessioni amministrative, entrambi in Riv. it. sc. giur., 1892, 3 ss. e 1894, 82 ss., nonché i saggi di G. Segrè, Studi sul concetto del negozio giuridico secondo il diritto romano e secondo il nuovo diritto germanico, anch’essi in Riv. it. Sc. giur., 1899, 161 ss., 1900, 1 ss.
[33] Quale era quello di C. Fadda, Corso di diritto romano. Parte generale con speciale riguardo alla teoria del negozio giuridico, Alvano, 1909.
[34] V. Scialoja, Negozi giuridici. Corso di diritto romano nella R. Università di Roma nell’anno accademico 1892-93, raccolte dai dottori Mapei e Giannini3, Soc. editrice del Foro it., 1933. Per una recente lettura della parte più propriamente teorica del Corso di Scialoja e sui suoi debiti verso la tradizione pandettistica, vd. di recente M. Brutti, Vittorio Scialoja, cit., 65-79.
[35] Cfr. e.g. V. Scialoja, Negozi giuridici, cit., 95-133, 184-201, 210-215, 283-306.
[36] N. De Crescenzio, Sistema del diritto civile romano2, I, Jovene, 1869, 118-155.
[37] C. Ferrini, Manuale di Pandette3, Soc, editr. libr., 1908, 141-220
[38] G. Pacchioni, Corso di diritto romano2, II, Utet, 1920, 204-289.
[39] N. Coviello, Manuale di diritto civile italiano3, Soc, editr. libr., 1924, 309-451.
[40] V. Arangio, Ruiz, Istituzioni di diritto romano2, Jovene, 1927, 70-96. Sui primi tre manuali indicati cenni in E. Stolfi, Studio e insegnamento del diritto romano dagli ultimi decenni dell’Ottocento alla prima guerra mondiale, in Storia del diritto e identità disciplinari: tradizioni e prospettive, Giappichelli, 2016, 11 nt. 46, 31 nt. 120, 32 nt. 127, 41 nt. 168. Sul Manuale di Ferrini vd. poi in part. A. Mantello, Contardo Ferrini e la Pandettistica, in Contardo Ferrini nel I centenario della morte. Fede, vita universitaria e studio dei diritti antichi alla fine del xix secolo, Cisalpino, 2003, 187 s., 192-196.
[41] Considerando che gli ultimi due capitoli del Corso di Scialoja (Gli atti illeciti; Del tempo in rapporto al sorgere e all’estinguersi dei diritti) esulano dalla teoria del negozio in senso stretto, la quale, come nel Corso di Betti, si estende per ca. 350 pagine.
[42] N. De Crescenzio, Sistema, cit., 245; V. Arangio, Ruiz, Istituzioni, cit., 88.
[43] C. Ferrini, Manuale, cit., 201 s. e 294 nt. 2; G. Pacchioni, Corso, cit., 275 s.
[44] Cfr. E. Betti, Corso, cit., 496-501; la discussione critica concerne le ipotesi della integrazione, o della mancata integrazione di una condizione risolutiva, o sospensiva, e l’ipotesi di una revoca del negozio ad opera della stessa parte.
[45] Sovrapponibile alle disamine tradizionali è soprattutto il § 66 – Forme di invalidità del negozio giuridico, che ha come punto fondamentale di raccordare nullità e annullabilità alla dialettica romana dell’invalidità iure civili o raggiunta sul piano del diritto onorario: cfr. E. Betti, Corso, cit., 501-510. Con il § 67 – Fasi dell’invalidità, il ricorso alla dogmatica moderna torna peraltro subito a infittirsi, aggiungendo alla figura tradizionale della convalescenza del negozio (cfr. V. Scialoja, Negozi giuridici, cit., 241-245; C. Ferrini, Manuale, cit., 204-207) le figure ulteriori della invalidazione e della conversione (un accenno alla quale ultima si trova peraltro in G. Pacchioni, Corso, cit., 279 s.), a loro volta suddivise in sottoclassi e distinte da figure più o meno affini: cfr. E. Betti, Corso, cit., 510-519.
[46] Per la penta-partizione indicata, vd. esplicitamente G. Pacchioni, Corso, cit., 206 s., ed implicitamente C. Ferrini, Manuale, cit., 162-166. Quadripartizione (con omissione della distinzione tra negozi a titolo oneroso e gratuito) in V. Arangio, Ruiz, Istituzioni, cit. 71-74. Tripartizione (con omissione della distinzione tra negozi formali o meno e astratti o causali) in N. De Crescenzio, Sistema, cit., 216. Solo in V. Scialoja, Negozi giuridici, cit., 77-87, si trova l’opposizione ulteriore tra negozi di stretto diritto e negozi di buona fede.
[47] N. De Crescenzio, Sistema, cit., 121-125; V. Arangio, Ruiz, Istituzioni, cit., 91-93. Il giudizio va peraltro esteso, nella sostanza, a V. Scialoja, Negozi giuridici, cit., 249-283 (in part. pp. 258-260).
[48] C. Ferrini, Manuale, cit., 208-214; G. Pacchioni, Corso, cit., 228-233. Nella sostanza, la rappresentazione è tributaria della distinzione, cara a Savigny, tra errore proprio e improprio, da cui si sarebbe sviluppata solo in seconda battuta quella tra errore vizio ed errore ostativo: cfr. in gen. E. Cortese, Errore (diritto intermedio), in Enc. dir., XV, Giuffrè, 1966, 245 s.
[49] E. Betti, Corso, cit., 405.
[50] E. Betti, Corso, cit., 452. Sul più tardo ripensamento civilistico della distinzione, vd. in gen. C. Rossello, Errore nel diritto civile, in Dig. disc. priv. sez. civ., VII, Utet, 1991, 511 s.
[51] Nel caso dell’errore vizio, lo sforzo di E. Betti, Corso, cit., 458 ss., è volto innanzitutto a mostrare come la partizione fondamentale che esso richiederebbe – vale a dire tra errore determinatosi circa un presupposto essenziale del negozio ed errore circa una qualità essenziale della cosa o della persona cui il negozio si riferisce – possa sovrapporsi solo in misura superficiale alle partizioni dell’errore ostativo.
[52] E. Betti, Corso, cit., 409-410.
[53] Sul pt. vd. in part. E. Betti, Corso, cit., 414-418.
[54] Supra in corrispondenza della nt. 41.
[55] F. Carnelutti, Nicola Coviello, in Riv. del dir. comm., 1913, 730.
[56] F. Carnelutti, loc. cit. Sulla vocazione sistematica del Manuale di diritto civile italiano, e sulla novità che proprio da questo punto di vista esso rappresentò per la cultura giuridica italiana del tempo, vd. M. Nardozza, Manualistica e cultura del Codice civile in Italia tra Otto e Novecento, Aracne, 2012, 166-172.
[57] Cfr. N. Coviello, Manuale, cit., 319-322 (classificazioni dei negozi giuridici), 329-332 (inefficacia), 378-386 (errore ostativo vs. errore vizio). Non sarà un caso che nella nota bibliografica molto più scarna, che Betti aveva approntato l’anno prima, come appendice alla voce dedicata al negozio per l’Enciclopedia italiana, l’unico manuale italiano citato, oltre al suo stesso Corso del ’28, sia per l’appunto quello di Nicola Coviello (cfr. E. Betti, Negozio giuridico, in Enc. Italiana di scienze, lettere ed arti, XXIV, Istituto Enciclopedia Italiana, 1934, 509). A proposito della nota bibliografica in questione, G. Alpa, Alle origini della codificazione, cit., 25 nt. 55 (i.f.) fa ora notare come Scialoja sia «l’ultimo citato tra i civilisti», pur dovendosi a lui la diffusione della figura del negozio presso i giuristi italiani. Non seguirei tuttavia l’Autore nel vedere la cosa come un riflesso della polemica apertasi tra Betti e Scialoja alla viglia della codificazione: la rassegna bibliografica di Betti è ordinata cronologicamente, e il fatto che il Corso di Scialoja occupi nella nota una posizione tanto avanzata dipende semplicemente dal fatto che Betti lo citi secondo la (terza) ristampa del 1933, curata da Salvatore Riccobono.
[58] F Carnelutti, Rec. a E. Betti, Corso di Istituzioni di diritto romano. I. Parte generale (escluso il processo), in Riv. dir proc. civ. 1929, 380: «Il corso (…) spiega il diritto romano con gli strumenti più perfezionati della tecnica moderna; anzi, direi, impiega il diritto romano a perfezionare sempre di più quegli strumenti. (…) Io non so ciò che del metodo diranno i cultori del diritto romano; (…) certo i cultori del diritto in generale e perciò, anche, della teoria generale (…) hanno ragione di compiacersene».
[59] V. Andrioli, Rec. a G. Morelli, La sentenza internazionale, in Lo Stato, 1931, 760.
[60] B. Lucifredi, L’atto amministrativo nei suoi elementi accidentali, Giuffrè, 1939, 15 e nt. 5. Sulla valenza ideologica della definizione bettiana, vd. M. Brutti, Vittorio Scialoja, cit., 118-124, in part. p. 121. Della novità e importanza della definizione è anche indice il fatto che sulla sua contrapposizione alla definizione classica del negozio, incentrata sulla formula della “dichiarazione di volontà”, Betti abbia poi costruito uno dei paragrafi più programmatici dell’intera TGNG, quello dedicato alla Critica del dogma della volontà: vd. infra in corrispondenza della nt. 113.
[61] F. Vassalli, Sommario delle lezioni della Teoria dei negozi giuridici a cura del dott. Aldo Bozzi, Soc. ed. del Foro it., 1934, 12. Il Corso del ’28 è indicato anche nella nota bibliografica iniziale (p. 5). Per una recente lettura delle aperture che le Lezioni di Vassalli lasciano intravedere rispetto alla tradizionale visione volontaristica del negozio giuridico, vd. G. Chiodi, Costruire una nuova legalità: il diritto delle obbligazioni nel dibattito degli anni Trenta, in La costruzione della ‘legalità’ fascista negli anni Trenta, Roma Tre Press, 2020, 220-225. Va aggiunto che Vassalli dava, implicitamente, un giudizio tutt’altro che negativo del Corso di Betti anche dal punto di vista della ricostruzione storica del diritto romano; cfr. F. Vassalli, Storia e dogma. Ricordandosi nell’Università di Pavia il prof. Luigi Moriani (1934) ora in Studi giuridici, II, Giuffrè, 1960, 454-457.
[62] Il verbo si giustifica per la singolare posizione assegnata alla TGNG nel piano complessivo dell’opera, dove essa compone (come tomo ii) il volume di chiusura del Trattato, insieme a L’esecuzione forzata di Salvatore Satta (tomo i). Per rendersi conto della singolarità della collocazione, rispetto a quella che del negozio giuridico era (e sarebbe rimasta) la sedes tradizionale, basta considerare come G. Pugliese, ‘Res corporales’, ‘res incorporales’e il problema del diritto soggettivo (1951) ora in Scritti giuridici scelti, III, Jovene, 1985, 232, riassumeva il piano («dei volumi pubblicati o di prossima pubblicazione») del Trattato Vassalli, normalizzandone, se così si può dire, la collocazione della teoria del negozio: «Persone fisiche, Persone giuridiche, Filiazione, Teoria generale del Negozio giuridico, Matrimonio e Rapporti patrimoniali fra coniugi, Usufrutto uso e abitazione, Servitù prediali, Enfiteusi, Comunione, Condominio, Compravendita, Comodato, Contratto di lavoro, Privilegi, Esecuzione forzata». Sulla collocazione “canonica” del negozio nella cd. ‘parte generale’ del diritto privato, vd. per tutti R. Sacco (con la collaborazione di P. Cisiano), La parte generale del diritto civile. 1. Il fatto, l’atto, il negozio, in Trattato di diritto civile, diretto da R. Sacco, Utet, 2005, 8 s., 273 ss.
[63] F. Carnelutti, Rec. a E. Betti, Teoria generale del negozio giuridico, in Riv. dir. proc. civ., 1943, 278.
[64] Supra in corrispondenza della nt. 22.
[65] Supra in corrispondenza della nt. 15.
[66] Vedine le indicazioni in G. Crifò, Indice, cit., nn. 81, 90, 94-97, 102, 106, 108 e 110. Paralleli alla stesura della TGNG (1936-43), sono i saggi di cui ai nn. 124, 126, 143, 145, oltre ai corsi di diritto romano si cui si è detto supra alla nt. 12. Si collocano invece tra la prima e la seconda edizione della TGNG gli studi di cui ai nn. 148, 155, 161, 164, 171, 174, 177, 179, 193.
[67] E. Betti, Negozio giuridico, cit., 505-509.
[68] Sono parole sempre di F. Carnelutti, op. e loc. citt., per giustificare la bontà della scelta di attribuire il tema a Betti: «Il negozio giuridico rientra, per tradizione, nella competenza de’ civilisti; ma a questi nella storia della sua elaborazione scientifica non se ne possono attribuire i meriti maggiori; se in principio l’iniziativa è stata in mano ai cultori del diritto romano, da tempo è passata ai pubblicisti di tutti i rami, dall’amministrativo, al processuale, e perfino al diritto penale. Solo pertanto un uomo, come il Betti, di formidabile cultura e, d’altra parte, di vastissima apertura mentale, avrebbe potuto, secondo l’indole del trattato, immettere nella monografia i risultati di un lavoro che si è spinto così lontano».
[69] TGNG, cap. i = Corso, cap. xii, §§ 49-50.
[70] Cfr. quanto della esposizione affidata al Corso del ’28 ebbe a scrivere lo stesso E. Betti, Educazione giuridica odierna, cit.,147 nt. 6: «Che poi la parte da me dedicata ai principi generali del negozio giuridico (…) sia riuscita un po’ sproporzionata, si spiega, in una prima stesura, perché per me si trattava di (…) di reagire alla vecchia concezione volontaristica del negozio e di delinearne una concezione nuova, diretta a metterne in rilievo il contenuto normativo (di autonomia privata) finora perduto di vista».
[71] TGNG, cap. ii, iii e iv = Corso, cap. xii, §§ 51, 52 e 53, con gli spostamenti, le modifiche e le integrazioni di cui si dirà subito oltre a testo.
[72] TGNG, cap. vii-x = Corso, cap. xiii-xvi. Alla prima parte del sistema appartengono anche le Classificazioni dei negozi giuridici (TGNG, cap. v = Corso, cap. xii, § 55) e la Interpretazione del negozio giuridico (come si dirà subito, nella sola TGNG, cap. vi).
[73] L’antitesi classico / giustinianeo porta a introdurre nel piano del Corso due paragrafi specifici, volti a precisare per l’una o per l’altra epoca un certo aspetto del discorso, affrontato nelle pagine precedenti in una prospettiva più generale. Essi sono il § 54 – Definizione specifica del negozio secondo il diritto romano classico, e il § 64 – Cenno sul trattamento dei vizi nel negozio nella dogmatica bizantina e nella pandettistica moderna. Sull’antitesi diritto civile / pretorio è impostato invece il § 76 – Applicazione della rappresentanza nel ius civile e nel diritto pretorio.
[74] Sulla genesi di questo particolare filone (anche esistenziale) della ricerca di Betti, vd. da ult. M. Brutti, La “dissoluzione dell’Europa”. Ideologia e ricerca teorica in Betti (1943-1955), in Dall’esegesi giuridica, cit., 57 ss.
[75] La partitio è fissata in E. Betti, Corso, cit., 299 s.: «La fattispecie del negozio consta di tre elementi: a) atto, b) regola (contenuto dell’atto), c) scopo (causa). Lasciamo da parte, per il momento, gli effetti giuridici che tale fattispecie produce. I detti elementi possono essere considerati, ciascuno, sotto tre profili diversi, e cioè: anzitutto, I) nella loro entità oggettiva; indi II) nei loro momenti soggettivi; infine III) sotto l’aspetto politico-legislativo, ossia dal punto di vista dell’ordinamento giuridico». Ai tre profili indicati sono dedicati, rispettivamente, i §§ 51-53.
[76] La partitio del nuovo schema di presentazione degli elementi costitutivi la fattispecie del negozio giuridico è fissata in E. Betti, Teoria2, cit., 51: «Nell’analisi degli elementi di cui consta (…) il negozio dà luogo a tre distinte domande: a) come è (forma); b) che cosa è (contenuto); c) perché è (causa). Le prime due domande concernono la struttura (che è forma e contenuto); la terza, la funzione». Come è detto a testo, alla Struttura del negozio giuridico è dedicato il secondo capitolo della TGNG; alla Funzione il terzo.
[77] Vd. in part. nel cap. ii della TGNG il § 19 – Elemento soggettivo quanto a forma e contenuto del negozio giuridico e nel cap. iii il § 21 – Rilevanza della causa specie nel suo riflesso soggettivo.
[78] Atteso che gli interventi del diritto rispetto all’atto si riducono ai requisiti di forma, «predeterminando tassativamente quei tipi di atti il cui compimento è idoneo a provocare la sanzione del diritto» (E. Betti, Corso, cit., 337).
[79] Cfr. TGNG, cap. iii, § 22 = Corso, cap. xii, § 53 lett. C.
[80] Cfr. E. Betti, Corso, cit., 338: «Rispetto alla regola, l’intervento dell’ordine giuridico consiste specialmente nel determinare i presupposti del suo valore normativo».
[81] Cfr. E. Betti, Corso, cit., 349: «L’intervento del diritto nella disciplina del negozio giuridico concerne, oltre che la fattispecie, anche e soprattutto la configurazione degli effetti giuridici che vi si debbono ricollegare. Sennonché questo ampio argomento non può essere ancora svolto: lo sarà più oltre».
[82] Altri esempi – però meno nitidi, e perciò più complicati da presentare – del riuso di parti scritte per il cap. xii del Corso, si possono trovare al § 49 = TGNG cap. i, §§ 1-2; al § 50 = TGNG cap. i, § 4; al § 51 = TGNG cap. iii, §§ 20-21; al § 53 = TGNG cap. ii, § 16.
[83] Dove la distinzione tra negozi astratti e causali costituiva la classe conclusiva del § 55 – Classificazioni dei negozi giuridici: vd. supra § 4.
[84] Le tre sezioni corrispondono a E. Betti, Teoria2, cit., 200-203, 203-207, 207-211.
[85] E. Betti, Teoria2, cit., 200-203.
[86] Supra nt. 83.
[87] In particolare, Betti contesta da un lato l’opportunità di qualificare i negozi astratti come “acausali” (Teoria2, cit., 201), dall’altro l’idea che la qualificazione di astratto o causale vada fatta non «di fronte al tipo del negozio», bensì guardando al negozio in concreto concluso dalle parti. L’identità dei contraddittori non è specificata. Per il primo profilo, vd. per es. S. Pugliatti, Diritto civile: metodo, teoria, pratica (1951) ora in Scritti giuridici, III, Giuffrè, 2011, 184.
[88] Supra in corrispondenza della nt. 22.
[89] M. Brutti, Vittorio Scialoja, cit., 118.
[90] Cfr. E. Betti, Corso, cit., 375 s.
[91] Cfr. E. Betti, Corso, cit., 377.
[92] Cfr. supra § 1.
[93] E. Betti, Teoria2, cit., 204.
[94] E. Betti, Teoria2, cit., 204 nt. 12.
[95] Iul. 60 dig. D. 39.5.2.4: Si ei, quem creditorem tuum putabas, iussu tuo pecuniam, quam me tibi debere existimabam, promissero, petentem doli mali exceptione summovebo et amplius incerti agendo cum stipulatore consequar, ut mihi acceptum faciat stipulationem. Ulp. 76 ad ed. D. 44.4.7.1: Idem Iulianus ait, si ei, quem creditorem tuum putabas, iussu tuo pecuniam, quam me tibi debere existimabam, promisero, petentem doli mali exceptione summoveri debere, et amplius agendo cum stipulatore consequar, ut mihi acceptam faciat stipulationem.
[96] È infatti curioso che l’Autore non segnali che nel ragionamento di Giuliano (e di Ulpiano) alla inefficacia della delegatio promittendi si arrivi soltanto per via indiretta (cfr. E. Betti, Corso, cit., 377), vale a dire o per il tramite dell’opponibilità di una exceptio o per il tramite dell’esperibilità di una condictio che costringa il delegatario – stipulante a liberare dal vincolo il delegato – promittente. Nella prospettazione della TGNG, invece, la norma codicistica fatta derivare dalla soluzione di Giuliano è portata come esempio di quei casi di rilevanza diretta, in cui per «considerazioni di opportunità politico-legislativa» un dato ordinamento può decidere di relativizzare gli effetti astratti del negozio: E. Betti, Teoria2, cit., 204.
[97] Cfr. E. Betti, Teoria2, cit., 356 e nt. 1 363 s. e nt. 26. Per l’art. 1362, il rinvio è al testo di Papiniano, tràdito in D. 50.16.219, che reca in esordio la regola “in conventionibus contrahentium voluntatem potius quam verba spectari placuit”. Per l’art. 1370, il rinvio è a varie decisioni romane ispirate al criterio “ambiguitas contra stipulatorem” (o similari).
[98] E. Betti, Teoria2, cit., 207.
[99] Teoria2, cit., 207 nt. 16. Il testo in questione è Iul. 5 ex Min. D. 24.1.39: Vir uxori pecuniam cum donare vellet, permisit ei, ut a debitore suo stipuletur: illa cum id fecisset, priusquam pecuniam auferret, divortium fecit: quaero, utrum vir eam summam petere debeat an ea promissione propter donationis causam actio nulla esset. respondi inanem fuisse eam stipulationem. Sul testo vd. da ult. H.-M. Empell, In causis vero dissentiamus, Mohr Siebeck, 2020, 117-122, sia quanto alla questione se l’intervento riportato vada attribuito proprio a Giuliano, anziché al giurista commentato (Minicio: in part. p. 118 s.) sia quanto alla esatta messa a fuoco del primo corno dell’alternativa sottoposta al giurista, tramite la proposizione “utrum vir eam summam petere debeat” (in part. p. 121 s., nella scia di M. Laborenz, Solutio als causa. Die Frage der Abstraktionsprinzips im römischen Recht, Böhlau, 2014, 243-247).
[100] Cfr. E. Betti, Teoria2, cit., 367 nt. 2 e 252 nt. 12. Nel primo caso ci si riferisce alle decisioni in materia di legato del ‘guardaroba femminile’, da interpretarsi come guardaroba che non comprende gli abiti femminili indossati in privato da un testatore di sesso maschile (cfr. D. 34.2.33). Nel secondo caso si argomenta a partire da una decisione di Labeone, con la quale si esclude che il giuramento (di essere erede) possa valere come pro herede gestio.
[101] Cfr. per tutti F. Wieacker, Storia del diritto privato moderno, trad. it., II, Giuffrè, 1980, 75 s.
[102] Cfr. F.C. v. Savigny, Sistema del diritto romano attuale, trad. it., I, Utet, 1886, 14: «Ma poiché vi sono molti diversi modi di acquistare conoscenza del diritto romano, è duopo esprimere chiaramente, in qual modo tale conoscenza vada qui ricercata per ottenere il fine propostoci. Ognuno intende bene che si tratta di un metodo profondo e scientifico; ma alcuno potrebbe per un malinteso esserne distolto, temendo che a chiunque volesse acquistare una tale conoscenza del diritto romano occorresse affrontare anche tutta la fatica della ricerca delle antichità e dell’indagine critica delle fonti. Per quanto questa parte dei nostri studi sia importante, pur non si deve qui disconoscere in alcun modo il salutare principio della divisione del lavoro; sicché i più possono pienamente contentarsi dei risultati delle speciali ricerche altrui». Sono parole in cui si riflette perfettamente il modo in cui E. Betti, Teoria2, cit., 207 nt. 16, si serve di un testo come D. 24.1.39 (vd. appena sopra, in corrispondenza della nt. 99) quale tessera della sua dottrina dei negozi astratti: «Questo profilo» – riferendosi all’interesse pubblico a che il ricorso al negozio astratto non permetta di eludere norme imperative – «spiega in modo soddisfacente l’invalidità dello stesso negozio delegatorio nella fattispecie decisa in D. 24.1.39, sulla quale vd. Haymann, in Bull. dir. rom., 51-52, 1948, 419-25».
[103] Così E. Betti, Teoria2, cit., 370 s. e nt. 8, in critica alla contraria tesi di Antonio Cicu. La regula, di Paolo, è esposta come tale in D. 50.17.12.
[104] Cfr. E. Betti, Teoria2, cit., 254 s. e ntt. 23-24. Al «criterio» richiamato a testo l’Autore associa peraltro quello per cui “nulla utilitas est nisi in his speciebus in quibus emolumentum debiti ampliatur”, di cui sempre Paolo si serve in D. 34.3.25 per spiegare in che misura possa essere valido un legato (per damnationem) del debito, che il testatore già abbia verso il legatario (cfr. P. Voci, Diritto ereditario romano. II. Parte speciale. Successione ab intestato, successione testamentaria2, Giuffrè, 1963, 323 s. e 327-331). In questo modo, il doppio brocardo finisce implicitamente per offrire al discorso sulla (falsa) rinnovazione del negozio una copertura romanistica che operi sul doppio versante dei negozi inter vivos e mortis causa.
[105] È la questione affrontata, in polemica con Francesco Messineo, in Teoria2, cit., 314-316.
[106] È la questione affrontata in D. 24.1.3.12: Sed si debitorem suum ei solvere iusserit, hic quaeritur, an nummi fiant eius debitorque liberetur. et Celsus libro quinto decimo digestorum scribit videndum esse, ne dici possit et debitorem liberatum et nummos factos mariti, non uxoris: nam et si donatio iure civili non impediretur, eum rei gestae ordinem futurum, ut pecunia ad te a debitore tuo, deinde a te ad mulierem perveniret: nam celeritate coniungendarum inter se actionum unam actionem occultari, ceterum debitorem creditori dare, creditorem uxori. nec novum aut mirum esse, quod per alium accipias, te accipere: nam et si is, qui creditoris tui se procuratorem esse simulaverit, a debitore tuo iubente te pecuniam acceperit, et furti actionem te habere constat et ipsam pecuniam tuam esse. Ampia letteratura (romanistica) sul testo in F. Briguglio, Ancora sulla c.d. Juristische Sekunde: Ulp. 32 ad Sab. D. 24.1.3.12, in Studi in onore di R. Martini, I, Giuffrè, 2008, 324-347.
[107] Tanto più considerando che le parole di Celso, ad avviso dell’Autore, dovrebbero evocare il fatto che «per il tramite dei promotori le adesioni individuali sono in realtà indirizzate a tutti i partecipanti» (E. Betti, Teoria2, cit., 315) e per questa ragione concorrono a formare tra i partecipanti stessi un contratto vero e proprio.
[108] E. Betti, Teoria2, cit., 22: «La concezione romana per vero non è che il diritto soggettivo si “stacchi” dal precedente soggetto e venga “trasferito” ad un altro. Per essa, ciò che qui rimane unico e identico non è il rapporto giuridico onde il diritto si esprime, sibbene la cosa che ne forma oggetto. Si ha trasferimento di questa, non successione nel rapporto. Il diritto sembra ricostituirsi ex novo nella persona dell’acquirente in virtù di una sua iniziativa, che la cooperazione dell’alienante serve a render possibile e a giustificare». Dello stesso tipo la messa a fuoco del diverso significato – romano e moderno – della tipicità negoziale: cfr. Teoria2, cit., 194 s.
[109] E. Betti, Teoria2, cit., 160 e nt. 13. I passi rispettivi sono costituiti da D. 12.6.33 e Gai 3.191.
[110] Così in part. M. Brutti, Emilio Betti, in Dizionario Biografico degli Italiani Treccani, 34, 1988, 39. Per valutazioni più circostanziate vd. anche G. Crifò, Emilio Betti. Note per una ricerca, in E. Betti e la scienza giuridica del Novecento, cit., 244 ss. e 264 s.; P. Costa, Emilio Betti: dogmatica, politica, storiografia, ivi, 333 s.; M. Talamanca, Diritto romano, cit. 710; G. Santucci, «Decifrando scritti che non hanno nessun potere». La crisi della romanistica fra le due guerre, in Storia del diritto, cit., 86.
[111] Così, per es., a proposito della revoca, da intendersi come rimozione del precetto, anziché della dichiarazione (E. Betti, Teoria2, cit., 251 nt. 10); a proposito del valore non retroattivo dell’accertamento susseguente (p. 35 nt. 8) e della ratifica (ibidem e p. 606 nt. 1); a proposito del valore non meramente ripetitivo della rinnovazione (p. 254 nt. 21).
[112] Supra § 5.
[113] Si tratta del terzo paragrafo del capitolo primo, dedicato al Concetto del negozio giuridico. Critica al dogma della volontà è il sorttotitolo quanto mai opportuno del paragrafo, atteso che l’Autore vi espone sì la propria definizione di negozio giuridico, ma con il corredo soltanto di una breve illustrazione che anticipa alcuni tratti salienti dell’analisi versata nei due successivi capitoli (Teoria2, cit., 51-53). Per il resto (pp. 53-72) il paragrafo è costruito come una serrata critica alla definizione, «divenuta tralatizia per una sorta di inerzia mentale» (op. cit., 53), che riassume il negozio in una manifestazione di volontà diretta a produrre effetti giuridici. Come è già stato notato, la definizione che del negozio giuridico Betti propone nella TGNG (op. cit., 51) ripropone nella sostanza quella offerta nel Corso del ’28: cfr. M. Brutti, Vittorio Scialoja, cit., 121; E. Stolfi, Emilio Betti maestro di casistica, cit., 155 nt. 75.
[114] E. Betti, Teoria1, cit., 44 s.
[115] E. Betti, Teoria2, cit., 55.
[116] E. Betti, Teoria2, cit., 55 nt. 14.
[117] Vd. supra in corrispondenza della nt. 102.
[118] E. Betti, Declarare voluntatem nella dogmatica bizantina, in Studi in memoria di E. Albertario, II, Milano, 1953, 419-461.
[119] Sia nella TGNG (p. 56 nt. 14) sia nell’Indice degli scritti scientifici, cit., xxi (n. 179), la data indicata del saggio è il 1950. Nella Premessa agli Studi in memoria di Emilio Albertario, scritta da V. Arangio Ruiz a tre anni esatti dalla morte dell’Onorato (occorsa a fine novembre del 1948), non sono date spiegazioni sui tempi ritardati della stampa.
[120] E. Betti, Declarare, cit., 453.
[121] E. Betti, Declarare, cit., 454.
[122] Inveterata consuetudo pro lege non immerito custoditur, et hoc est ius quod dicitur moribus constitutum. nam cum ipsae leges nulla alia ex causa nos teneant, quam quod iudicio populi receptae sunt, merito et ea, quae [sine ullo scripto] <longa consuetudine> populus probavit, tenebunt omnes: [nam quid interest suffragio populus voluntatem suam declaret an rebus ipsis et factis? quare rectissime etiam illud receptum est, ut leges non solum suffragio legis latoris, sed etiam tacito consensu omnium per desuetudinem abrogentur].
[123] [Hodie tamen ita demum pactio huiusmodi creditoribus obest, si convenerint in unum et communi consensu declaraverint, quota parte debiti contenti sint …].
[124] Si fundus in dotem datus sit, in quo lapis caeditur, lapidicinarum commodum ad maritum pertinere constat, quia palam sit eo animo dedisse mulierem fundum, ut iste fructus ad maritum pertineat[, nisi si contrariam voluntatem in dote danda declaraverit mulier]. Come i due precedenti, il testo è riprodotto con i segni diacritici con cui li si riporta in E. Betti, Declarare, cit., 456.
[125] Nella rassegna di costituzioni imperiali, presentata in E. Betti, Declarare, cit., 451-453, mancano per es. C. 3.36.16, C. 3.36.21 e, soprattutto, C. 6.35.4, dove il voluntatem declarare si riporta direttamente alla disposizione codicillare di revoca (cfr. P. Voci, Diritto ereditario2, II, cit., 491 s.). Sul versante degli scritti non giuridici, la scelta di limitarsi alle opere di Cicerone esclude dalla rassegna testi come Liv. 6.39.11 o Liv. 39.39.11, dove pure il sintagma non ha alcun valore ricognitivo.
[126] Così per l’interpolazione della chiusa di D. 1.3.32.1 (supra nt. 122), basata sul fatto che «lo schema del declarare volutatem rebus ipsis et factis, prospettato siccome parallelo al declarare voluntatem suffragio risultante dalle votazioni comiziali disconosce la formale esigenza della cooperazione fra assemblea e magistrato nei comizi legislativi» (E. Betti, Declarare, cit., 457). Sul pt. vd. le osservazioni di C. Cascione, Consensus. Problemi di origine, tutela processuale, prospettive sistematiche, ESI, 2003, 144 nt. 309, che esattamente giudica «formalistica» la critica di Betti. Proprio per questo suo carattere, sorprende che Betti stesso non avvertisse alcuna tensione tra la posizione assunta a proposito di D. 1.3.32.1 e il giusto caveat metodologico espresso poche pagine prima: «La critica testuale in questo come in altri casi ha il difetto di presupporre nei giuristi un linguaggio grammaticalmente impeccabile: difetto, codesto, di sensibilità storica e anche di senso comune, perché l’esperienza quotidiana c’insegna che della lingua, del ministerium vocis, noi tutti ci serviamo come di uno strumento per esprimere il pensiero, in essi imprimiamo il nostro stile e, in una con lo stile, le nostre carenze. Facendo noi assegnamento sulle intelligenze sulla scienza dei nostri interlocutori, trascuriamo a volte la rigorosa precisione del linguaggio e la completezza dell’informazione, presupponendo note certe nozioni» (E. Betti, Declarare, cit., 435 s.).
[127] Così per l’interpolazione della chiusa di D. 24.3.8 pr. o dell’intero D. 2.14.7.19 (supra ntt. 123-124), dove l’apposizione dei segni diacritici di espunzione non è poggiata su alcuna motivazione esplicita.
[128] E. Betti, Declarare, cit., 458-461.
[129] Cfr. per es. E. Betti, Teoria2, cit., 51 ss. ntt. 7-9, 20-21, 46-47. Sulla seconda edizione, come luogo anche di replica ai contraddittori della visione sociale del negozio, vd. in gen. P. Grossi, Scienza giuridica italiana. Un profilo storico 1860-1950, Giuffrè, 2000, 303. Per un altro punto specifico, relativo alla configurazione della causa negoziale, vd. ora M.N. Miletti, Diritto privato e funzione economico-sociale: radici bettiane d’una formula, in La funzione sociale nel diritto privato tra XX e XXI secolo, Roma Ter Press, 2017, 12-14.
[130] E. Betti, Declarare, cit., 461.